Mời bạn đọc tham khảo đề thi vào lớp 10 môn Toán chính thức từ Sở Giáo dục và Đào tạo tỉnh Nghệ An năm học 2024 - 2025 kèm đáp án chi tiết được cập nhật bên dưới.
Đề thi vào lớp 10 môn Toán tỉnh Nghệ An 2024
Đề thi sẽ được cập nhật chính thức khi kỳ thi tuyển sinh vào lớp 10 của tỉnh diễn ra, vì vậy đáp án đề thi vào lớp 10 môn toán tỉnh Nghệ An sẽ được cập nhật sau khi kết thúc thời gian thi.
Đề thi

Barem điểm




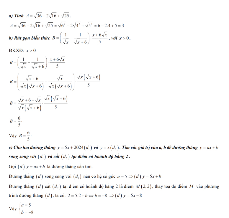
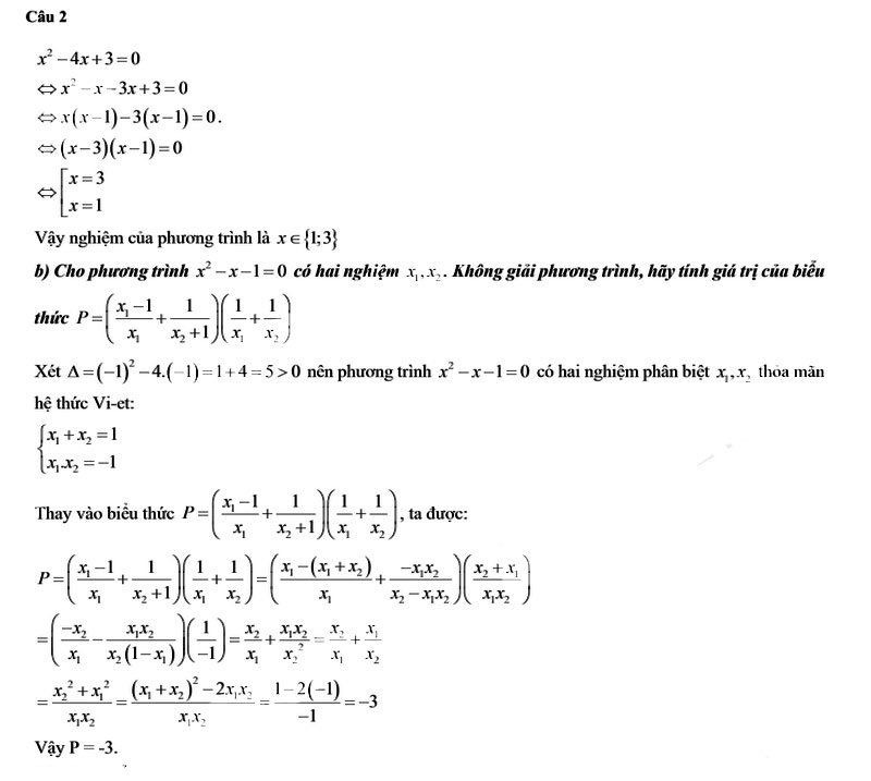
ĐÁP ÁN
Câu 1:


Câu 3:




Xem thêm
- Chỉ tiêu tuyển sinh vào lớp 10 tại Nghệ An
- Điểm chuẩn lớp 10 năm 2024 Nghệ An
- Điểm thi tuyển sinh lớp 10 năm 2024 Nghệ An
- Đáp án đề thi vào lớp 10 môn tiếng Anh Nghệ An 2024
- Đáp án đề thi vào lớp 10 môn Văn Nghệ An 2024
Đề thi vào lớp 10 môn Toán tỉnh Nghệ An 2023
ĐỀ THI

ĐÁP ÁN THAM KHẢO
Câu 1.

Câu 2.

Câu 3

Câu 4.


Đề thi tuyển sinh lớp 10 môn toán Nghệ An 2022

ĐÁP ÁN
Câu 1

Câu 2

Câu 3

Câu 4


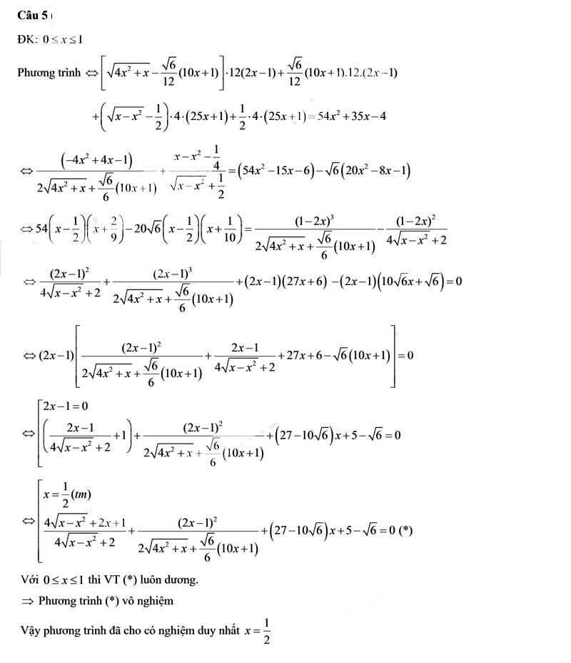
Câu 5

Đề thi tuyển sinh lớp 10 môn Toán tỉnh Nghệ An 2021
Kỳ thi tuyển sinh vào lớp 10 của tỉnh Nghệ An sẽ diễn ra vào 04/06/2021. Đề thi vào lớp 10 môn Toán tỉnh Nghệ An 2021 chính thức sẽ được cập nhật ngay sau khi kỳ thi diễn ra.

Đáp án đề Toán vào 10 Nghệ An 2021


Câu 4

Câu 5

Câu 2

Câu 3

Cùng ôn tập chuẩn bị thật tốt cho kỳ thi sắp tới với đề thi tuyển sinh lớp 10 các năm trước nhé:
Tuyển tập đề thi vào 10 Nghệ An môn Toán các năm trước
Đề thi tuyển sinh lớp 10 môn Toán năm 2020

Xem chi tiết đề thi và đáp án tại link: Đề thi tuyển sinh vào lớp 10 môn Toán năm 2020 Nghệ An
Đề thi vào 10 môn Toán Nghệ An 2019
Câu 1. (2,0 điểm) Rút gọn các biểu thức sau
a)\(A=(\sqrt{12}-2 \sqrt{5}) \sqrt{3}+\sqrt{60}\)
b) \(\mathrm{B}=\frac{\sqrt{4 x}}{x-3} \cdot \sqrt{\frac{x^{2}-6 x+9}{x}}\) với \(0<>
Xem chi tiết đề thi và đáp án tại link: Đề thi vào lớp 10 môn Toán tỉnh Nghệ An năm 2019 có đáp án
Đề thi tuyển sinh vào lớp 10 môn Toán năm 2018
Câu 1. (2,5 điểm)
a) So sánh \(2 \sqrt{3}+\sqrt{27}\) và \(\sqrt{74}\)
b) Chứng minh đẳng thức \(\left(\frac{1}{\sqrt{x}-2}-\frac{1}{\sqrt{x}+2}\right) \cdot \frac{x-4}{4}=1\), với \(x \geq 0\) và \(x \neq 4\)
c) Tìm giá trị của m để y=3x+m đi qua điểm A(1;2)
Xem chi tiết đề thi và đáp án tại link: Đề thi Toán vào lớp 10 tỉnh Nghệ An 2018
Trên đây là toàn bộ nội dung của đề thi tuyển sinh lớp 10 môn Toán qua các năm trước mà Đọc Tài Liệu chia sẻ nhằm giúp các em nắm được các thông tin về kỳ thi này.
Mong rằng những tài liệu của chúng tôi sẽ là người đồng hành giúp các bạn hoàn thành tốt bài thi của mình. Tra cứu điểm thi tuyển sinh lớp 10 năm 2024 tại đây!