doctailieu.com
Ngữ văn
Soạn văn 6 Soạn văn 7 Soạn văn 8 Soạn văn 9 Soạn Văn 10 Soạn văn 11 Soạn văn 12
Văn mẫu
Văn mẫu 6 Văn mẫu 7 Văn mẫu 8 Văn mẫu 9 Văn mẫu 10 Văn mẫu 11 Văn mẫu 12
Thi vào 10
Tra điểm Tin tuyển sinh Điểm chuẩn Đề thi thử Đề thi đáp án
Giải đáp Trắc nghiệm
Đăng nhập
Trang chủ
Ngữ văn
Soạn văn 6 Soạn văn 7 Soạn văn 8 Soạn văn 9 Soạn Văn 10 Soạn văn 11 Soạn văn 12
Văn mẫu
Văn mẫu 6 Văn mẫu 7 Văn mẫu 8 Văn mẫu 9 Văn mẫu 10 Văn mẫu 11 Văn mẫu 12
Thi vào 10
Tra điểm Tin tuyển sinh Điểm chuẩn Đề thi thử Đề thi đáp án
Giải đáp
Trắc nghiệm
Đăng nhập Tạo tài khoản
Đăng Nhập với Email
Đăng nhập
Lấy lại mật khẩu
Đăng Nhập với
Facebook
Google
Apple

Tạo tài khoản Doctailieu

Để sử dụng đầy đủ tính năng và tham gia cộng đồng của chúng tôi

Tạo tài khoản
Tạo tài khoản với
Facebook
Google
Apple
Khi bấm tạo tài khoản bạn đã đồng ý với quy định của tòa soạn
Lấy lại mật khẩu
Nhập Email của bạn để lấy lại mật khẩu
Lấy lại mật khẩu
Trang chủ Toán 8 Luyện tập (trang 40 - Tập 1)

Luyện tập (trang 40 - Tập 1)

Cách giải và đáp án bài 11 trang 40 SGK toán đại số lớp 8 tập 1

Cách giải và đáp án bài 11 trang 40 SGK toán đại số lớp 8 tập 1

Đọc tài liệu gửi tới các em học sinh cách giải và đáp án bài 11 trang 40 SGK toán lớp 8 tập 1 phần đại số: Rút gọn phân thức.

Cách giải và đáp án bài 12 trang 40 SGK toán đại số lớp 8 tập 1

Cách giải và đáp án bài 12 trang 40 SGK toán đại số lớp 8 tập 1

Đọc tài liệu gửi tới các em học sinh cách giải và đáp án bài 12 trang 40 SGK toán lớp 8 tập 1 phần đại số.

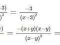
Cách giải và đáp án bài 13 trang 40 SGK toán đại số lớp 8 tập 1

Cách giải và đáp án bài 13 trang 40 SGK toán đại số lớp 8 tập 1

Đọc tài liệu gửi tới các em học sinh cách giải và đáp án bài 13 trang 40 SGK toán lớp 8 tập 1 phần đại số.

CÁC BÀI KHÁC CÙNG CHƯƠNG

  • Bài 1: Phân thức đại số
  • Bài 2: Tính chất cơ bản của phân thức
  • Bài 3: Rút gọn phân thức
  • Bài 4: Quy đồng mẫu thức nhiều phân thức
  • Luyện tập (trang 43-44)
  • Bài 5: Phép cộng các phân thức đại số
  • Luyện tập (trang 47-48)
  • Bài 6: Phép trừ các phân thức đại số
  • Luyện tập (trang 50-51)
  • Bài 7: Phép nhân các phân thức đại số
  • Bài 8: Phép chia các phân thức đại số
  • Bài 9: Biến đổi các biểu thức hữu tỉ. Giá trị của phân thức
  • Luyện tập (trang 58-59)
  • Ôn tập chương 2

Giải bài tập

  • Môn Văn
  • Môn Anh
  • Môn Toán
  • Môn Hóa
  • Phân tích Tây Tiến
  • Tranh tô màu
  • Tả cây phượng
  • About us on about.me

Chủ đề nổi bật

  • Phân tích Việt Bắc
  • Bài văn tả mẹ
  • Tả con mèo
  • Phân tích bài thơ Tỏ lòng
  • Phân tích Đất nước
  • Phân tích Hai đứa trẻ
  • Định hướng nghề nghiệp

Soạn văn 6

  • Soạn văn 6 Cánh diều
  • Soạn văn 6 Chân trời
  • Soạn văn 6 Kết nối
  • Đọc Tài Liệu Blog's
  • Ketqua net
  • Lô Gan Miền Trung

Chủ đề mới

  • Phân tích Vợ nhặt
  • Phân tích nhân vật Ngô Tử Văn
  • Tả cây bàng
  • Cảm nghĩ về người thân
  • Phân tích Trao duyên
  • Phân tích nhân vật Phương Định
doctailieu.com

Copyright © 2020 Doctailieu.com. All rights reserved

82 Duy Tân, P Dịch Vọng Hậu, Q Cầu Giấy, Hà Nội

doctailieu.com@gmail.com

dmca.com dmca.com

Giới thiệu | Điều khoản sử dụng