Giải chi tiết đề minh họa toán 2022

Xuất bản: 04/04/2022 - Cập nhật: 26/12/2022 - Tác giả:

Giải chi tiết đề minh họa toán 2022 với hướng dẫn giải 50 câu bao gồm tất cả các câu hỏi VD - VDC trong đề thi tham khảo của Bộ GD&ĐT vừa ra.

Bộ Giáo dục và Đào tạo công bố đề thi minh họa 2022 tất các các môn thi THPT quốc gia. Dưới đây là iải chi tiết đề minh họa toán 2022 mà các em đối chiếu so sánh bài làm của mình.

Đề thi minh họa môn toán 2022

Đề thi minh họa môn toán 2022 ảnh 1
Đề thi minh họa môn toán 2022 ảnh 2
Đề thi minh họa môn toán 2022 ảnh 3
Đề thi minh họa môn toán 2022 ảnh 4
Đề thi minh họa môn toán 2022 ảnh 5

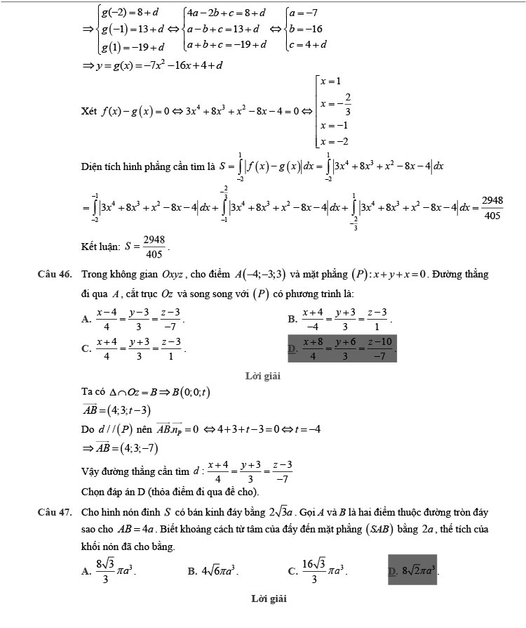
Giải chi tiết đề minh họa toán 2022 tất cả 50 câu

Giải chi tiết đề minh họa toán 2022 trang 1
Giải chi tiết đề minh họa toán 2022 trang 2
Giải chi tiết đề minh họa toán 2022 trang 3
Giải chi tiết đề minh họa toán 2022 trang 4
Giải chi tiết đề minh họa toán 2022 trang 5
Giải chi tiết đề minh họa toán 2022 trang 6
Giải chi tiết đề minh họa toán 2022 trang 7
Giải chi tiết đề minh họa toán 2022 trang 8
Giải chi tiết đề minh họa toán 2022 trang 9
Giải chi tiết đề minh họa toán 2022 trang 10
Giải chi tiết đề minh họa toán 2022 trang 11
Giải chi tiết đề minh họa toán 2022 trang 12
Giải chi tiết đề minh họa toán 2022 trang 13

Các em còn có thể theo dõi và xem chi tiết tổng hợp đáp án đề thi THPT quốc gia qua các năm tất cả các môn nữa nhé!

Bạn còn vấn đề gì băn khoăn?
Vui lòng cung cấp thêm thông tin để chúng tôi giúp bạn
Hủy

CÓ THỂ BẠN QUAN TÂM