Đề thi thử môn Toán tốt nghiệp thpt trường Ngyễn Huệ - Ninh Bình lần 3 năm 2018

Xuất bản: 19/06/2018 - Tác giả: Hiền Phạm

Đề thi thử môn Toán THPT năm 2018 của trường Ngyễn Huệ - Ninh Bình theo đúng cấu trúc mới của bộ GD&ĐT.

Đề thi:

Đề thi thử môn Toán thptqg năm 2018 trường Ngyễn Huệ - Ninh Bình lần 3 trang 1
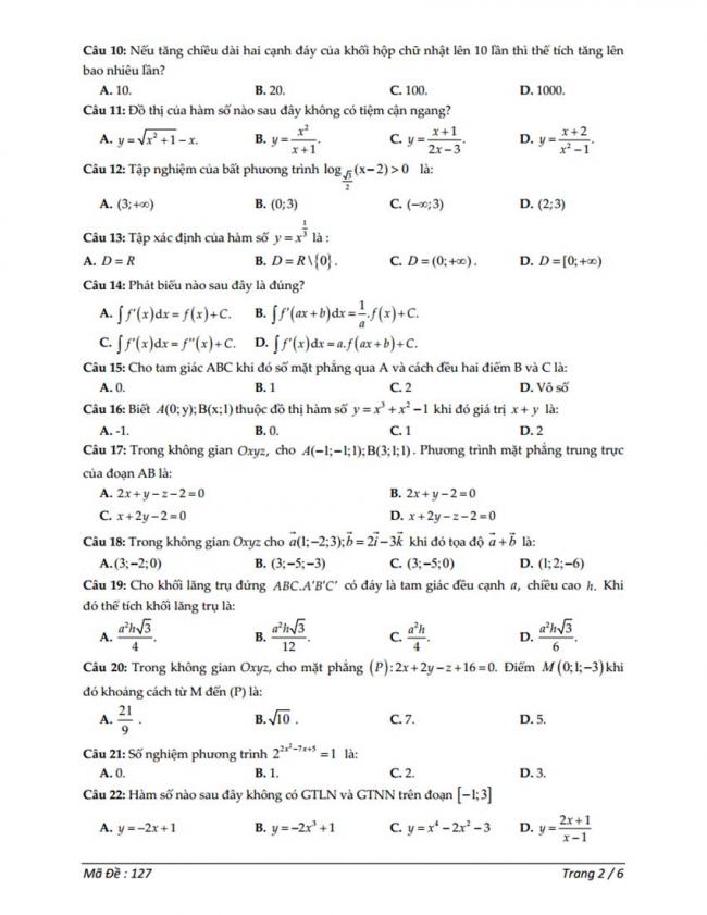
Đề thi thử môn Toán thptqg năm 2018 trường Ngyễn Huệ - Ninh Bình lần 3 trang 2
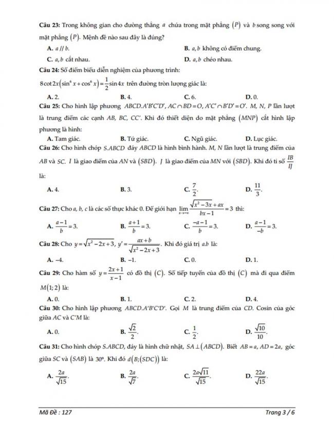
Đề thi thử môn Toán thptqg năm 2018 trường Ngyễn Huệ - Ninh Bình lần 3 trang 3
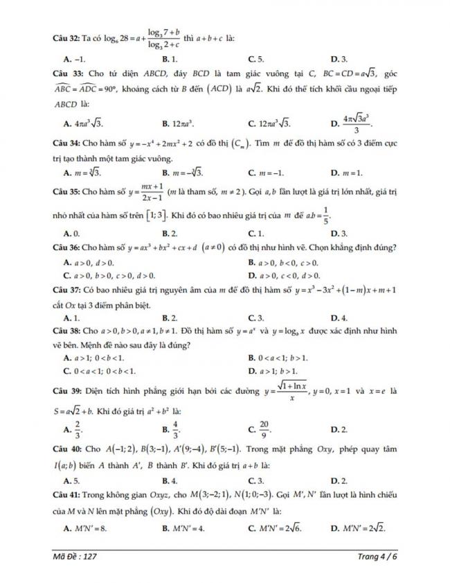
Đề thi thử môn Toán thptqg năm 2018 trường Ngyễn Huệ - Ninh Bình lần 3 trang 4
Đề thi thử môn Toán thptqg năm 2018 trường Ngyễn Huệ - Ninh Bình lần 3 trang 5
Đề thi thử môn Toán thptqg năm 2018 trường Ngyễn Huệ - Ninh Bình lần 3 trang 6

Bạn còn vấn đề gì băn khoăn?
Vui lòng cung cấp thêm thông tin để chúng tôi giúp bạn
Hủy

TẢI VỀ

CÓ THỂ BẠN QUAN TÂM