Đề thi thử thpt quốc gia 2018 môn toán trường Nguyễn Đăng Đạo - Bắc Ninh lần 3

Xuất bản: 18/06/2018 - Tác giả: Hiền Phạm

Tham khảo đề thi thử và đáp án môn Toán tốt nghiệp THPTQG trường Nguyễn Đăng Đạo - Bắc Ninh lần 3 năm 2018

Đề thi

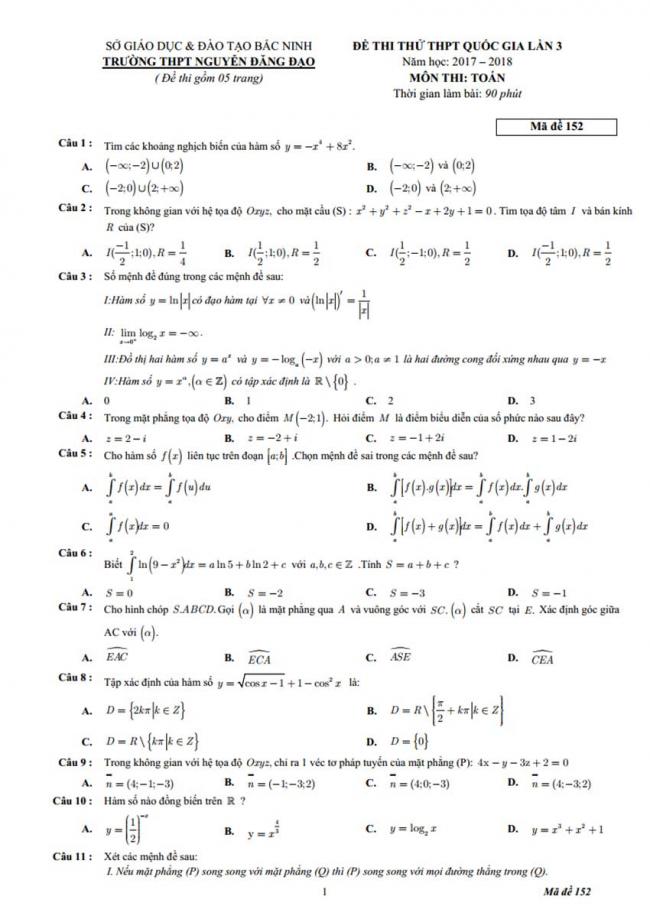
Đề thi thử môn Toán thptqg năm 2018 trường Nguyễn Đăng Đạo - Bắc Ninh lần 3 trang 1
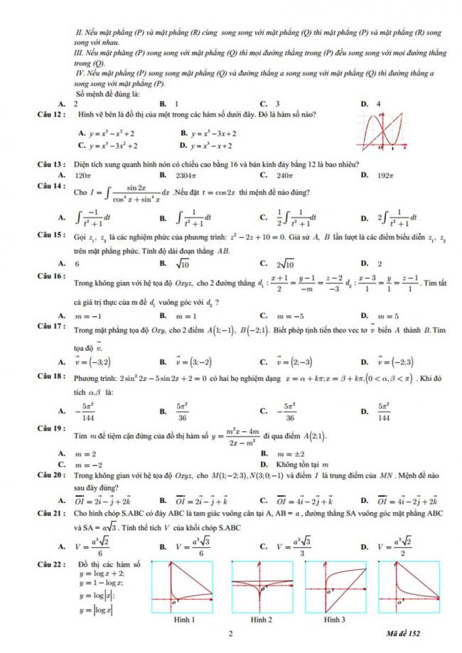
Đề thi thử môn Toán thptqg năm 2018 trường Nguyễn Đăng Đạo - Bắc Ninh lần 3 trang 2
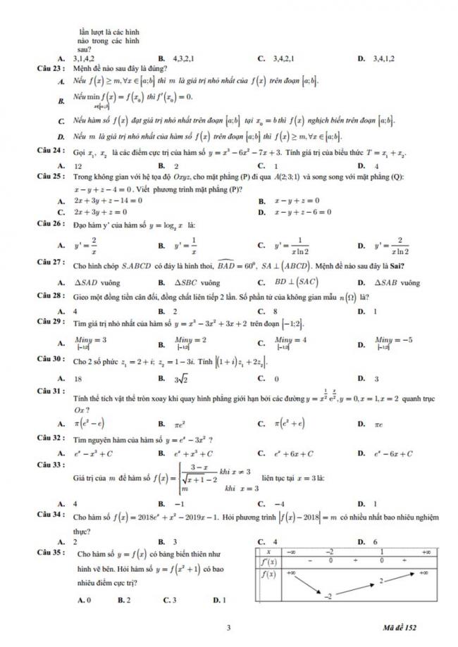
Đề thi thử môn Toán thptqg năm 2018 trường Nguyễn Đăng Đạo - Bắc Ninh lần 3 trang 3
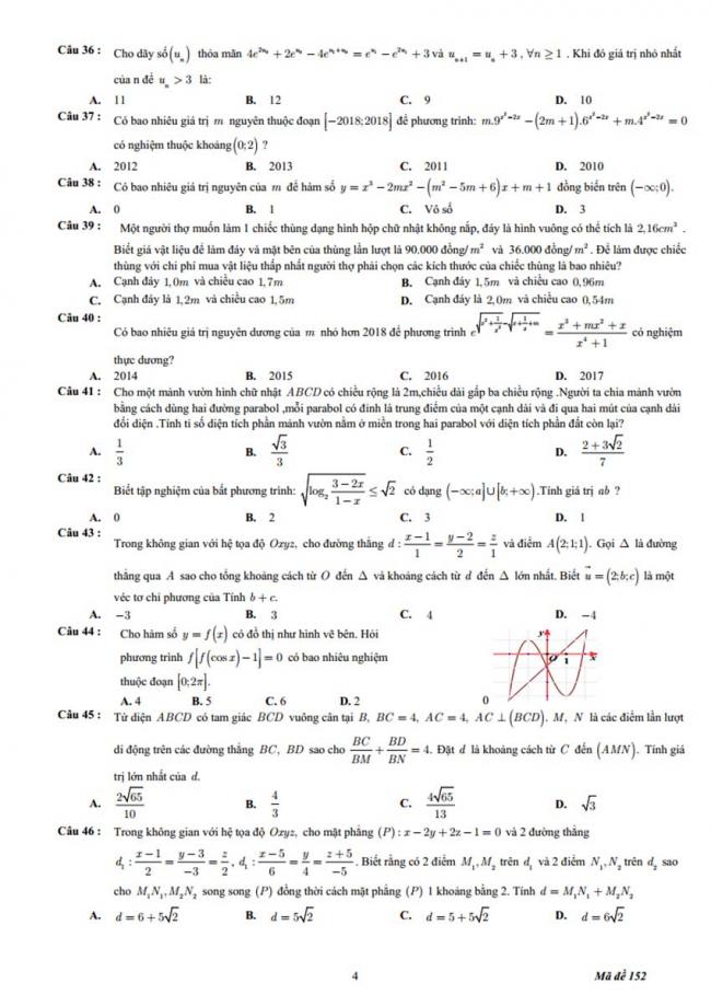
Đề thi thử môn Toán thptqg năm 2018 trường Nguyễn Đăng Đạo - Bắc Ninh lần 3 trang 4
Đề thi thử môn Toán thptqg năm 2018 trường Nguyễn Đăng Đạo - Bắc Ninh lần 3 trang 5

Đáp án Đề thi thử môn Toán thptqg năm 2018 trường Nguyễn Đăng Đạo - Bắc Ninh lần 3

Đáp án Đề thi thử môn Toán thptqg năm 2018 trường Nguyễn Đăng Đạo - Bắc Ninh lần 3

Bạn còn vấn đề gì băn khoăn?
Vui lòng cung cấp thêm thông tin để chúng tôi giúp bạn
Hủy

TẢI VỀ

CÓ THỂ BẠN QUAN TÂM