Đề thi thử THPT Quốc gia môn Toán trường Hương Khê - Hà Tĩnh lần 1 năm 2018

Xuất bản: 20/06/2018 - Tác giả: Hiền Phạm

Tham khảo đề thi thử và đáp án môn Toán tốt nghiệp THPTQG trường Hương Khê - Hà Tĩnh lần 1 năm 2018.

Mục lục nội dung

Đề thi

Đề thi thử môn Toán thptqg năm 2018 trường Hương Khê - Hà Tĩnh lần 1 trang 1
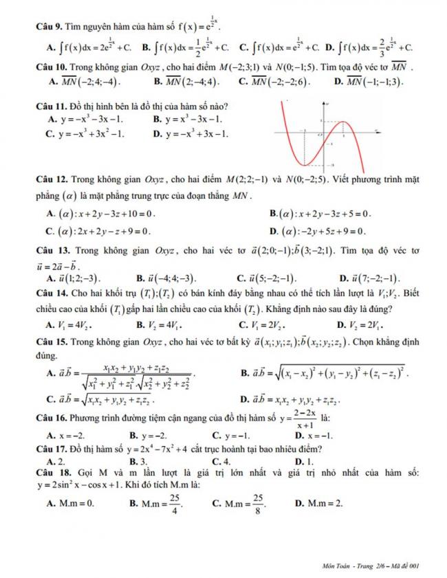
Đề thi thử môn Toán thptqg năm 2018 trường Hương Khê - Hà Tĩnh lần 1 trang 2
Đề thi thử môn Toán thptqg năm 2018 trường Hương Khê - Hà Tĩnh lần 1 trang 3
Đề thi thử môn Toán thptqg năm 2018 trường Hương Khê - Hà Tĩnh lần 1 trang 4
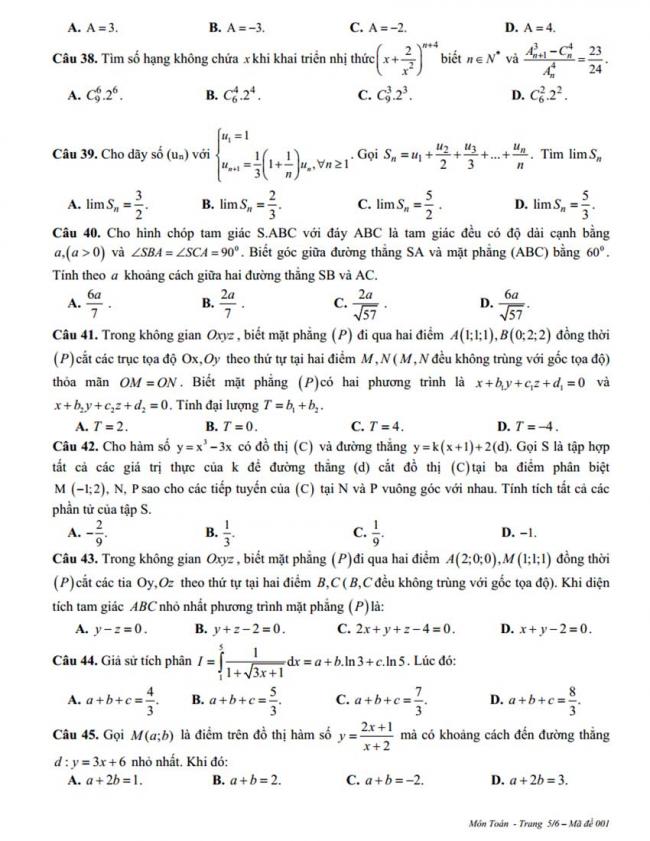
Đề thi thử môn Toán thptqg năm 2018 trường Hương Khê - Hà Tĩnh lần 1 trang 5
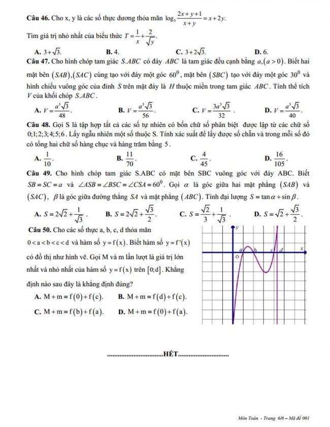
Đề thi thử môn Toán thptqg năm 2018 trường Hương Khê - Hà Tĩnh lần 1 trang 6

Đáp án Đề thi thử môn Toán thptqg năm 2018 trường Hương Khê - Hà Tĩnh lần 1

Đáp án Đề thi thử môn Toán thptqg năm 2018 trường Hương Khê - Hà Tĩnh lần 1

Bạn còn vấn đề gì băn khoăn?
Vui lòng cung cấp thêm thông tin để chúng tôi giúp bạn
Hủy

TẢI VỀ

CÓ THỂ BẠN QUAN TÂM