Giải đề thi thử THPT Quốc gia môn toán Chuyên Tiền Giang năm 2018

Xuất bản: 19/06/2018 - Tác giả: Hiền Phạm

Đáp án đề thi thử THPT quốc gia 2018 môn Toán trường Chuyên Tiền Giang.

Mục lục nội dung

Đề thi

Đề thi thử môn Toán thptqg năm 2018 trường Chuyên Tiền Giang lần 2 trang 1
Đề thi thử môn Toán thptqg năm 2018 trường Chuyên Tiền Giang lần 2 trang 2
Đề thi thử môn Toán thptqg năm 2018 trường Chuyên Tiền Giang lần 2 trang 3
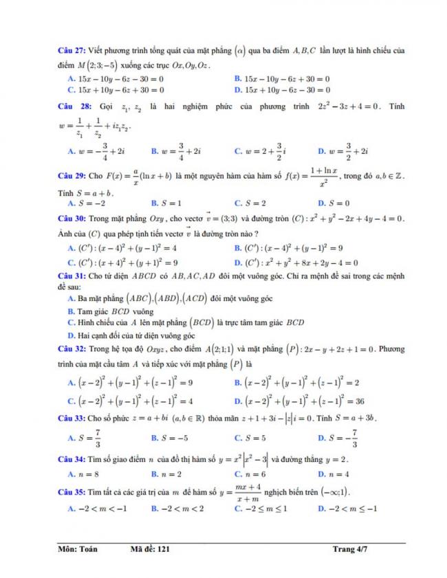
Đề thi thử môn Toán thptqg năm 2018 trường Chuyên Tiền Giang lần 2 trang 4
Đề thi thử môn Toán thptqg năm 2018 trường Chuyên Tiền Giang lần 2 trang 5
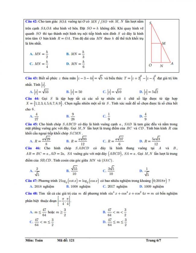
Đề thi thử môn Toán thptqg năm 2018 trường Chuyên Tiền Giang lần 2 trang 6
Đề thi thử môn Toán thptqg năm 2018 trường Chuyên Tiền Giang lần 2 trang 7

Đáp án Đề thi thử môn Toán thptqg năm 2018 trường Chuyên Tiền Giang lần 2

Đáp án Đề thi thử môn Toán thptqg năm 2018 trường Chuyên Tiền Giang lần 2

Bạn còn vấn đề gì băn khoăn?
Vui lòng cung cấp thêm thông tin để chúng tôi giúp bạn
Hủy

TẢI VỀ

CÓ THỂ BẠN QUAN TÂM