Đọc tài liệu xin gửi tới các em đề thi và đáp án vào 10 lớp chuyên Toán (vòng 2) năm học 2024 - 2025 của trường THPT chuyên Khoa học tự nhiên (Hà Nội) chi tiết bên dưới. Các em hãy tham khảo đề cập nhật mới nhất bên dưới!
Đề thi vòng 2 chuyên Toán KHTN (Hà Nội) 2024

Đề thi vòng 2 chuyên Toán KHTN (Hà Nội) 2023

ĐÁP ÁN THAM KHẢO
Dưới đây là phần lời giải chi tiết đề thi Toán vòng 2 trường chuyên Khoa học Tự nhiên của thầy Võ Quốc Bá Cẩn, Nguyễn Lê Phước, Nguyễn Tiến Dũng (giáo viên trường Archimedes Academy, Hà Nội), thầy Nguyễn Văn Quý (giáo viên câu lạc bộ CMATH), thầy Trần Đức Hiếu (giáo viên trường THPT chuyên Hà Nội - Amsterdam) và Trần Quang Độ (sinh viên Đại học Sư phạm Hà Nội):


Bài 3.



Đề thi vòng 2 chuyên Toán KHTN (Hà Nội) năm 2022

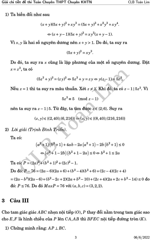
Đáp án đề thi vòng 2 chuyên Toán KHTN năm 2022






Đề thi vòng 2 chuyên Toán KHTN (Hà Nội) năm 2021

Đáp án đề thi vòng 2 chuyên Toán KHTN (Hà Nội) năm 2021




Câu 3.

Trên đây là toàn bộ nội dung của đề thi vào lớp 10 môn toán chuyên của trường KHTN của thành phố Hà Nội năm học 2021 - 2022 và các năm trước.
Mong rằng những tài liệu của chúng tôi sẽ là người đồng hành giúp các bạn hoàn thành tốt bài thi của mình.
Tham khảo thêm:
