Cập nhật Đề thi tuyển sinh lớp 10 môn toán tỉnh Vĩnh Long năm học 2024-2025 nhanh nhất cùng đáp án chi tiết. Mời các bạn xem ngay dưới đây.
Đề thi tuyển sinh lớp 10 môn Toán tỉnh Vĩnh Long 2024
Đề thi và đáp án môn Toán kỳ thi vào lớp 10 năm 2024 tại tỉnh Vĩnh Long sẽ được Đọc Tài Liệu cập nhật ngay khi môn thi kết thúc. Tham khảo đề thi và đáp án môn Toán tỉnh Vĩnh Long các năm trước bên dưới:
Xem thêm thông tin
- Điểm thi tuyển sinh lớp 10 năm 2024 Vĩnh Long
- Điểm chuẩn vào 10 tỉnh Vĩnh Long năm 2024
- Đề thi tuyển sinh lớp 10 môn văn tỉnh Vĩnh Long năm 2024
- Đề thi tuyển sinh lớp 10 môn Anh tỉnh Vĩnh Long năm 2024
Đề thi tuyển sinh lớp 10 môn Toán tỉnh Vĩnh Long 2023
Đang cập nhật...
Đề thi tuyển sinh lớp 10 môn Toán Vĩnh Long năm 2022

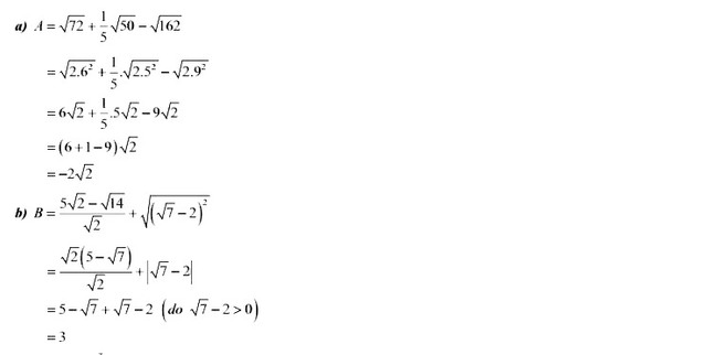
Đáp án
Câu 1

Câu 2

Câu 3

Câu 4

Câu 5

Câu 6

Câu 7

Đề thi tuyển sinh lớp 10 môn Toán Vĩnh Long 2021

Đáp án đề thi vào lớp 10 môn Toán Vĩnh Long 2021


Bài 6.


Đang cập nhật...
Kỳ thi tuyển sinh vào lớp 10 của tỉnh sẽ diễn ra vào ngày 30/5/2021, vì vậy đề thi vào lớp 10 môn toán tỉnh Vĩnh Long 2021 chính thức sẽ được cập nhật ngay lập tức khi kết thúc thời gian thi.
Ngoài ra, Doctailieu mời các em tham khảo chỉ tiêu tuyển sinh vào lớp 10 Vĩnh Long cùng điểm chuẩn tuyển sinh vào lớp 10 Vĩnh Long qua các năm để đưa ra các lựa chọn nguyện vọng thật đúng đắn.
Đề thi tuyển sinh lớp 10 môn Toán tỉnh Vĩnh Long các năm trước
Đề thi vào lớp 10 môn toán Vĩnh Long năm 2020

Xem thêm chi tiết đáp án đề thi toán vào 10 năm 2020 tỉnh Vĩnh Long
Đề thi vào lớp 10 môn toán Vinh Long 2019

Xem thêm chi tiết đáp án đề thi toán vào 10 năm 2019 tỉnh Vĩnh Long
Đề thi tuyển sinh lớp 10 môn toán Vĩnh Long 2018

Xem thêm chi tiết đáp án đề thi toán vào 10 năm 2018 tỉnh Vĩnh Long
Đề thi vào lớp 10 môn toán Vĩnh Long 2017

Xem thêm chi tiết đáp án đề thi toán vào 10 năm 2017 tỉnh Vĩnh Long
Trên đây là nội dung đáp án đề thi vào 10 môn toán tỉnh Vĩnh Long năm 2024 và các năm trước đó để các em đối chiếu, thử sức với các đề khác nhau. Chúc các em luôn học tốt và đạt kết quả cao trong kì thi tuyển sinh vào lớp 10 này.
