Xin gửi tới các bạn đề thi thử tốt nghiệp THPT môn Toán 2021 có đáp án vừa ra của trường THPT Kinh Môn theo chuẩn cấu trúc đề thi của Bộ GD&ĐT trong lần thi thứ hai. Cùng Đọc tài liệu tham khảo đề thi thử tốt nghiệp THPT này:
Đề thi thử tốt nghiệp THPT môn Toán lần 2








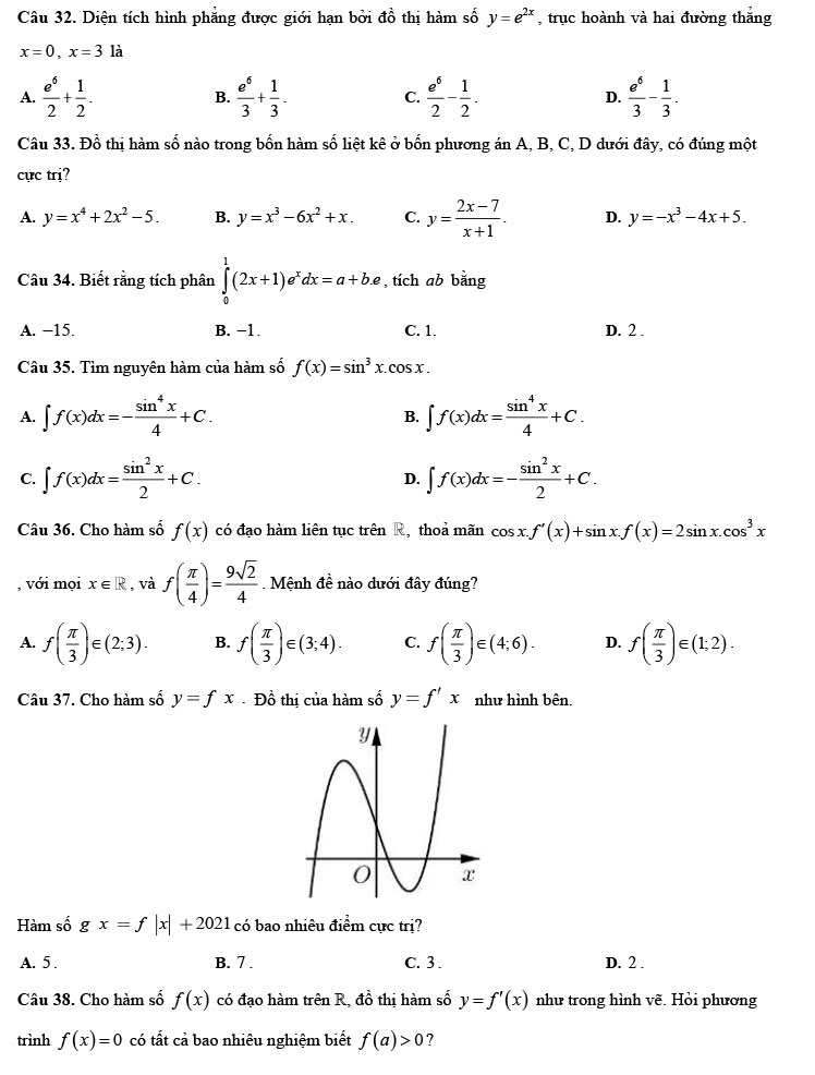
Hãy thử làm bài trong 90 phút, rồi so sánh với đáp án đề thi thử tốt nghiệp THPT 2021 môn Toán lần 2 trường THPT Kinh Môn (Hải Dương) dưới đây:
(Tải đề thi trong file đính kèm)
Đáp án
| Câu | Đ/a | Câu | Đ/a | Câu | Đ/a | Câu | Đ/a | Câu | Đ/a |
|---|---|---|---|---|---|---|---|---|---|
| 1 | B | 11 | C | 21 | D | 31 | D | 41 | B |
| 2 | C | 12 | B | 22 | C | 32 | C | 42 | A |
| 3 | A | 13 | C | 23 | A | 33 | D | 43 | B |
| 4 | C | 14 | C | 24 | C | 34 | A | 44 | A |
| 5 | A | 15 | A | 25 | D | 35 | C | 45 | C |
| 6 | D | 16 | B | 26 | B | 36 | C | 46 | D |
| 7 | C | 17 | A | 27 | C | 37 | B | 47 | C |
| 8 | D | 18 | B | 28 | A | 38 | C | 48 | A |
| 9 | A | 19 | A | 29 | C | 39 | C | 49 | C |
| 10 | C | 20 | C | 30 | A | 40 | A | 50 | D |
Trên đây là một đề thi khá hay trong bộ đề thi thử tốt nghiệp THPT môn Toán có đáp án giúp các em ôn tập lại các kiến thức đã học, đánh giá năng lực làm bài của mình và chuẩn bị cho kì kiểm tra THPT sắp tới được tốt hơn với số điểm cao như mong muốn.
Chúc các em ôn thi tốt!
