Đề thi thử THPTQG môn Toán lần 1 năm 2020 THPT Lương Thế Vinh - Đề 132
Xuất bản: 07/04/2020 - Cập nhật: 08/04/2020 - Tác giả: Huyền Chu
Giải chi tiết đề thi thử THPT Quốc gia 2020 môn Toán của trường THPT Lương Thế Vinh - Hà Nội lần 1 mã đề 132 mà các em cần tham khảo.
Đề thi thử THPT Quốc gia 2020 môn Toán mã đề 132 có đáp án chi tiết do trường THPT Lương Thế Vinh - Hà Nội công bố.
Kiến thức được ra trong đề thi bao gồm các kiến thức học kì 1 lớp 12 và cả chương trình Toán lớp 10 và lớp 11. Cùng Đọc tài liệu tham khảo đề thi thử THPT Quốc gia 2020 và lời giải chi tiết dưới đây bạn nhé
Đề thi thử - Mã đề 132







Giải chi tiết đề thi thử THPT Quốc gia 2020 môn Toán
Đáp án

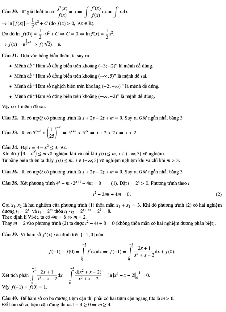
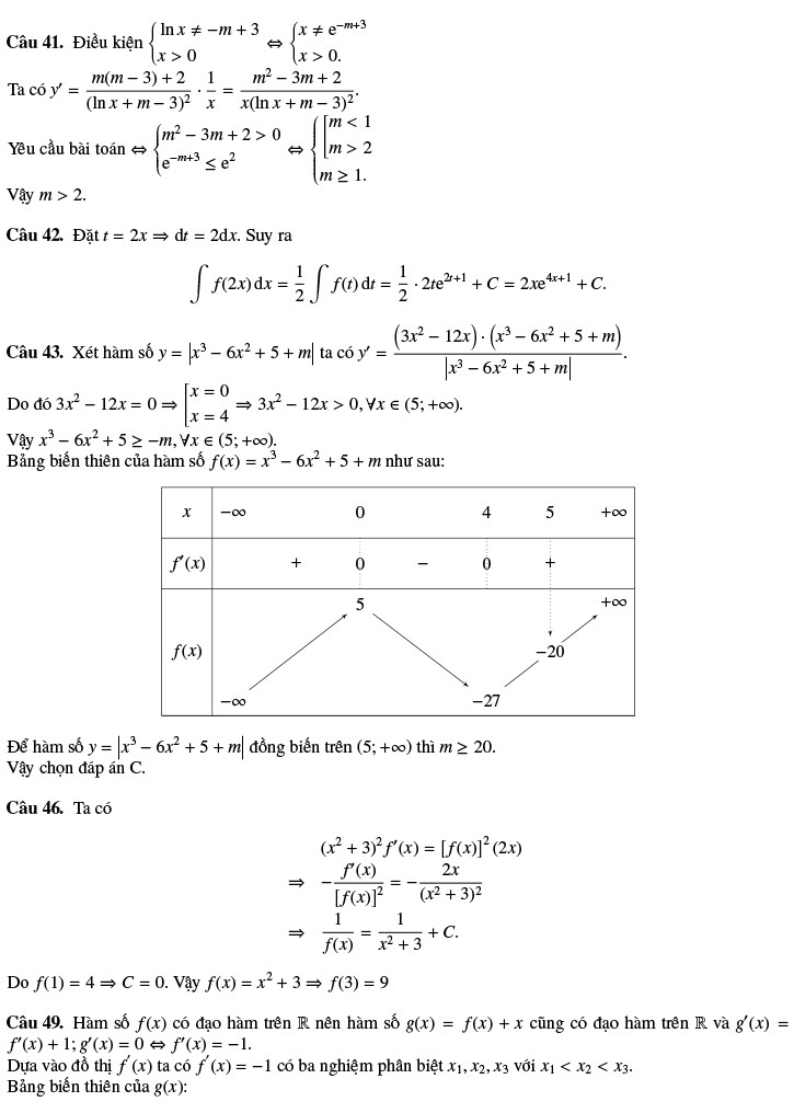
Lời giải chi tiết





Trên đây là bộ đề thi thử thpt quốc gia 2020 môn Toán có đáp án Mã đề 132 lần 1 của trường THPT Lương Thế Vinh - Hà Nội giúp các em ôn tập lại các kiến thức đã học, đánh giá năng lực làm bài của mình và chuẩn bị cho kì kiểm tra THPT sắp tới được tốt hơn với số điểm cao như mong muốn.
Chúc các em thi tốt!
Giới thiệu về tác giả
Huyền Chu là thành viên của Đọc tài liệu từ những ngày đầu tiên thành lập website https://doctailieu.com/. Hiện đang sinh sống và làm việc tại Hà Nội. Tác giả đã có kinh nghiệm biên tập các nội dung học tập từ TH, THCS, THPT từ năm 2018. Đó là các bài giảng, các bài học thuộc chương trình học của Sách giáo khoa của các cấp học, là các mẫu đề thi thử của 2 kỳ thi tuyển sinh (vào 10 và tốt nghiệp THPT). Trên hành trình cung cấp những tài liệu học tập hữu ích, tác giả sẽ cố gắng truyền tải những nội dung bổ ích giúp quá trình học tập trở nên thuận lợi hơn. Mong rằng với những gì mà tác giả Huyền Chu cung cấp sẽ đem lại giá trị hữu ích tới bạn đọc.
Trân trọng!