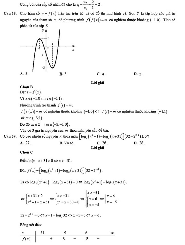
Đề thi thử THPT Quốc gia 2022 môn Toán đề số 3 nằm trong bộ đề thi thử THPT Quốc gia 2022 môn Toán do Đọc tài liệu tổng hợp, nhằm giúp các em ôn tập kiến thức và rèn luyện kĩ năng giải đề thông qua bộ câu hỏi được phát triển, xây dựng dựa trên đề minh họa của Bộ GD&ĐT.
Cùng tham khảo và tải file đề thi để luyện tập:
Đề thi thử THPT Quốc gia 2022 môn Toán đề số 3





Đáp án đề thi thử THPT Quốc gia 2022 môn Toán đề số 3
Dưới đây là bảng đáp án để các em đối chiếu với bài làm của mình và lời giải chi tiết từng câu hỏi.















*Nguồn: Thầy Nguyễn Vương
-/-
Trên đây là toàn bộ nội dung Đề thi thử THPT Quốc gia 2022 môn Toán đề số 3 và lời giải chi tiết. Hy vọng các em có thêm những kiến thức, kĩ năng làm đề mới cho môn học này cùng Đọc tài liệu với bộ đề thi thử toán 2022. Chúc các em học tốt!
