Đề thi thử môn Toán THPT năm 2019 trường Yên Dũng 3 - Bắc Giang lần 1 là một trong những tài liệu ôn tập hữu ích dành cho các thầy cô và các em học sinh lớp 12 trong quá trình chuẩn bị cho kì thi THPT Quốc gia sắp tới. Đề bao gồm 50 câu trắc nghiệm khách quan, thời gian làm bài 90 phút được biên soạn bám sát cấu trúc đề tham khảo môn Toán 2019 do Bộ Giáo dục và Đào tạo từng công bố.
Dưới đây là đề thi thử THPT Quốc gia môn Toán trường Yên Dũng 3 - Bắc Giang lần 1 kèm đáp án, lời giải chi tiết:
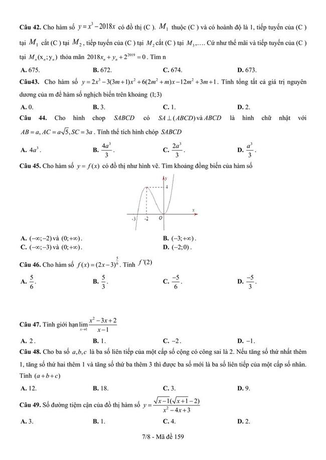
Đề thi thử môn Toán THPTQG năm 2019 trường Yên Dũng 3








Đáp án đề thi thử THPT năm 2019 môn Toán trường Yên Dũng 3 - Bắc Giang lần 1
| 1 | D | 11 | A | 21 | B | 31 | D | 41 | C |
| 2 | A | 12 | A | 22 | D | 32 | D | 42 | C |
| 3 | C | 13 | A | 23 | C | 33 | D | 43 | C |
| 4 | C | 14 | C | 24 | B | 34 | C | 44 | B |
| 5 | A | 15 | C | 25 | B | 35 | D | 45 | A |
| 6 | B | 16 | C | 26 | B | 36 | B | 46 | B |
| 7 | A | 17 | A | 27 | B | 37 | A | 47 | D |
| 8 | C | 18 | D | 28 | B | 38 | C | 48 | D |
| 9 | B | 19 | B | 29 | C | 39 | B | 49 | D |
| 10 | B | 20 | D | 30 | A | 40 | A | 50 | C |
Trên đây là đề thi thử môn Toán THPTQG năm 2019 trường Yên Dũng 3 - Bắc Giang lần 1 với những dạng bài thường gặp trong đề thi THPT Quốc gia môn Toán. Với việc ôn luyện đề thi thử, các em học sinh sẽ có thêm kiến thức, kỹ năng và hành trang vững vàng để bước vào kì thi quan trọng vài tháng tới. Chúc các em học và thi thật tốt!
Xem thêm: Đề thi thử môn Toán THPT năm 2019 trường THPT Yên Dũng 2 - Bắc Giang lần 2
- Đề thi thử THPT Quốc gia 2019 -