Để làm quen với dạng đề thi trước khi chính thức bước vào kì thi THPT quốc gia, mời các em học sinh tham khảo đề thi thử thpt quốc gia môn toán trường THPT Gia Định - TP. HCM lần 1 với 50 câu trắc nghiệm làm trong 90 phút.
Dưới đây là đề thi thử THPT năm 2019 môn Toán trường THPT Gia Định - TP. HCM lần 1:
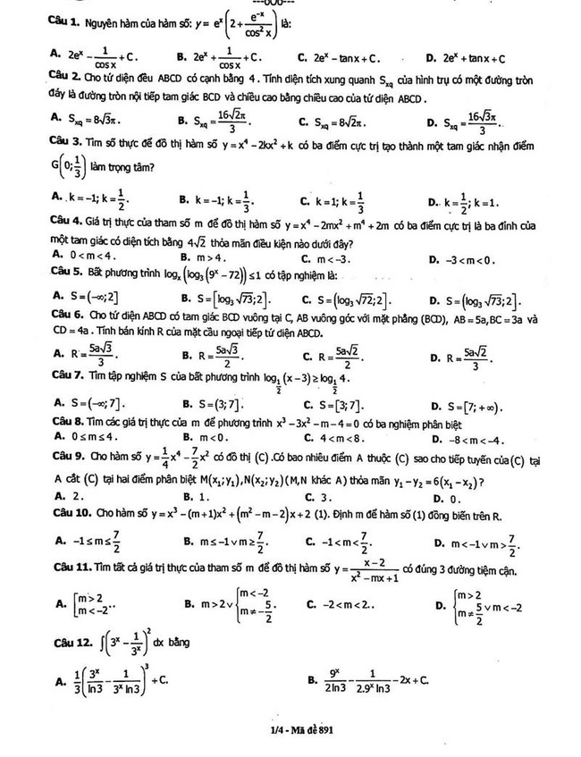
Đề thi thử môn Toán THPT năm 2019 trường THPT Gia Định - TP. HCM lần 1




Đáp án đề thi thử THPT năm 2019 môn toán trường THPT Gia Định - TP. HCM lần 1
| 1 | D | 11 | D | 21 | C | 31 | C | 41 | C |
| 2 | B | 12 | B | 22 | D | 32 | C | 42 | A |
| 3 | D | 13 | A | 23 | C | 33 | B | 43 | C |
| 4 | A | 14 | B | 24 | C | 34 | C | 44 | A |
| 5 | D | 15 | A | 25 | D | 35 | C | 45 | A |
| 6 | C | 16 | D | 26 | D | 36 | A | 46 | C |
| 7 | B | 17 | C | 27 | B | 37 | A | 47 | A |
| 8 | D | 18 | A | 28 | D | 38 | A | 48 | A |
| 9 | A | 19 | A | 29 | A | 39 | A | 49 | B |
| 10 | B | 20 | C | 30 | C | 40 | A | 50 | A |
Trên đây là đề thi thử môn Toán THPT năm 2019 trường THPT Gia Định - TP. HCM lần 1 với những dạng bài thường gặp trong đề thi THPT Quốc gia môn Toán. Với việc ôn luyện đề thi thử, các em học sinh sẽ có thêm kiến thức, kỹ năng và hành trang vững vàng để bước vào kì thi quan trọng vài tháng tới. Chúc các em học và thi thật tốt!
- Đề thi thử THPT Quốc gia 2019 -