Tham khảo đề thi thử môn Toán THPT năm 2019 trường THPT chuyên Quốc học Huế lần 1 trong kỳ thi thử Toán THPT Quốc gia năm 2019 lần 1 nhằm đánh giá chất lượng ôn tập chuẩn bị cho kỳ thi THPT Quốc gia của toàn thể học sinh khối 12. Đề thi bao gồm 50 câu trắc nghiệm, thí sinh làm bài trong thời gian 90 phút.
Dưới đây là đề thi thử thpt quốc gia 2019 môn toán trường THPT chuyên Quốc học Huế lần 1:
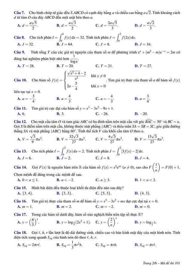
Đề thi thử THPT môn Toán năm 2019 trường THPT chuyên Quốc học Huế lần 1






Đáp án đề thi thử môn Toán THPT năm 2019 trường THPT chuyên Quốc học Huế lần 1
| 1 | A | 11 | A | 21 | A | 31 | C | 41 | B |
| 2 | B | 12 | B | 22 | B | 32 | C | 42 | B |
| 3 | D | 13 | B | 23 | C | 33 | C | 43 | C |
| 4 | D | 14 | A | 24 | A | 34 | A | 44 | C |
| 5 | C | 15 | A | 25 | A | 35 | C | 45 | A |
| 6 | A | 16 | D | 26 | A | 36 | B | 46 | C |
| 7 | D | 17 | C | 27 | D | 37 | D | 47 | A |
| 8 | D | 18 | D | 28 | C | 38 | D | 48 | D |
| 9 | D | 19 | C | 29 | C | 39 | B | 49 | C |
| 10 | D | 20 | C | 30 | B | 40 | D | 50 | A |
Với đề thi thử môn Toán THPT năm 2019 trường THPT chuyên Quốc học Huế lần 1 cùng đáp án, Đọc Tài Liệu hy vọng các em sẽ ôn luyện thật tốt để chuẩn bị bước vào kì thi THPT Quốc gia chính thức. Chúc các em học tốt và vượt vũ môn thành công!
- Đề thi thử THPT Quốc gia 2019 -