Đọc Tài Liệu xin gửi tới các em học sinh đề thi thử môn Toán THPT năm 2019 trường THPT Đoàn Thượng - Hải Dương lần 3 với đáp án và lời giải chi tiết từng câu giúp các em củng cố kiến thức và tìm ra những cách giải hay nhất, nhanh nhất cho các dạng bài tập.
Dưới đây là đề thi thử môn Toán THPT năm 2019 trường THPT Đoàn Thượng - Hải Dương lần 3 các em tham khảo chuẩn bị cho kì thi sắp tới.
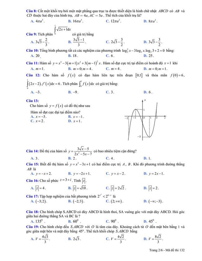
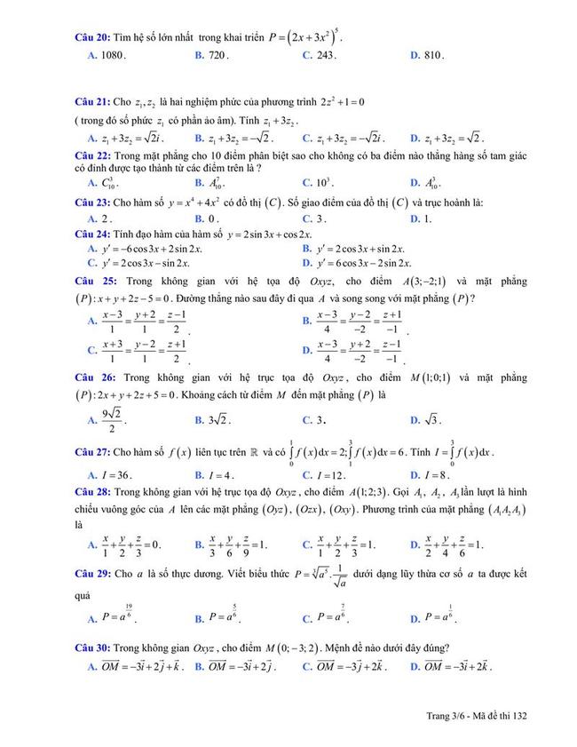
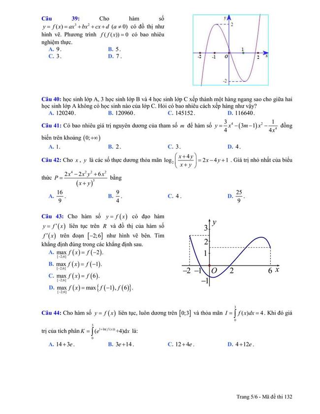
Đề thi thử THPT năm 2019 môn Toán trường THPT Đoàn Thượng - Hải Dương lần 3






Đáp án đề thi thử môn Toán THPT năm 2019 trường THPT Đoàn Thượng - Hải Dương lần 3
| 1 | D | 11 | C | 21 | A | 31 | C | 41 | A |
| 2 | C | 12 | B | 22 | A | 32 | D | 42 | A |
| 3 | C | 13 | B | 23 | D | 33 | B | 43 | D |
| 4 | A | 14 | D | 24 | D | 34 | A | 44 | C |
| 5 | A | 15 | B | 25 | D | 35 | A | 45 | B |
| 6 | D | 16 | B | 26 | C | 36 | B | 46 | C |
| 7 | A | 17 | A | 27 | D | 37 | A | 47 | D |
| 8 | C | 18 | C | 28 | B | 38 | C | 48 | B |
| 9 | B | 19 | D | 29 | C | 39 | A | 49 | B |
| 10 | A | 20 | A | 30 | C | 40 | B | 50 | D |
Hy vọng đề thi thử môn Toán THPT năm 2019 trường THPT Đoàn Thượng - Hải Dương lần 3 là một trong những tài liệu ôn tập hữu ích để các em ôn luyện chuẩn bị cho kì thi trước mắt. Chúc các em thi tốt và đạt kết quả cao!