Cùng Đọc tài liệu thử sức với đề thi khảo sát chất lượng môn Toán dành cho các em học sinh lớp 9 thi chuyên Toán năm học 2021-2022:
Đề thi thử lớp 10

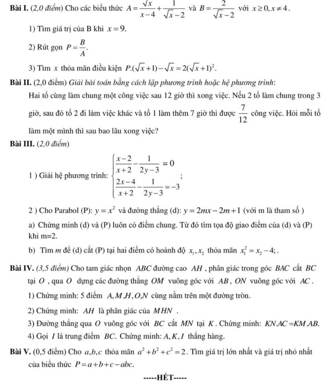
Đề thi thử tuyển sinh vào lớp 10 môn Toán dành cho các em học sinh lớp 9 thi năm nay tham khảo, đề thi gồm 5 câu hỏi với các dạng bài tập thuộc chương tình Toán lớp 9 mà các em đã được học, cùng tham khảo gợi ý đáp án dưới đây nhé.
Đáp án




Trên đây là đề thi thử lớp 9 vào 10 lần 1 môn Toán năm 2020 có đáp án, mong rằng đây sẽ là tài liệu hữu ích giúp các em ôn tập. Đừng quên còn rất nhiều tài liêu đề thi thử vào lớp 10 môn toán khác của các tỉnh thành trên cả nước nhé.
