Đề thi khảo sát 12 môn Toán mã 002 Hà Nội 2019 có đáp án
Xuất bản: 27/03/2019 - Cập nhật: 28/02/2020 - Tác giả: Huyền Chu
Đáp án đề thi khảo sát 12 môn Toán mã đề 002 của Sở GD&ĐT dành cho các em học sinh lớp 12 chuẩn bị cho kì thi THPTQG
Bộ đề thi khảo sát 12 môn Toán mã 002 Hà Nội năm 2019 gồm 50 câu hỏi trắc nghiệm sẽ giúp các em ôn tập các kiến thức quan trọng và rèn luyện kỹ năng làm bài thi của mình.
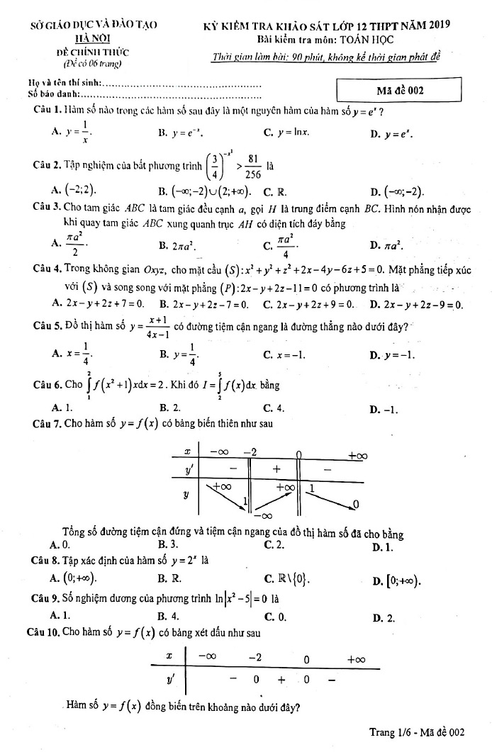
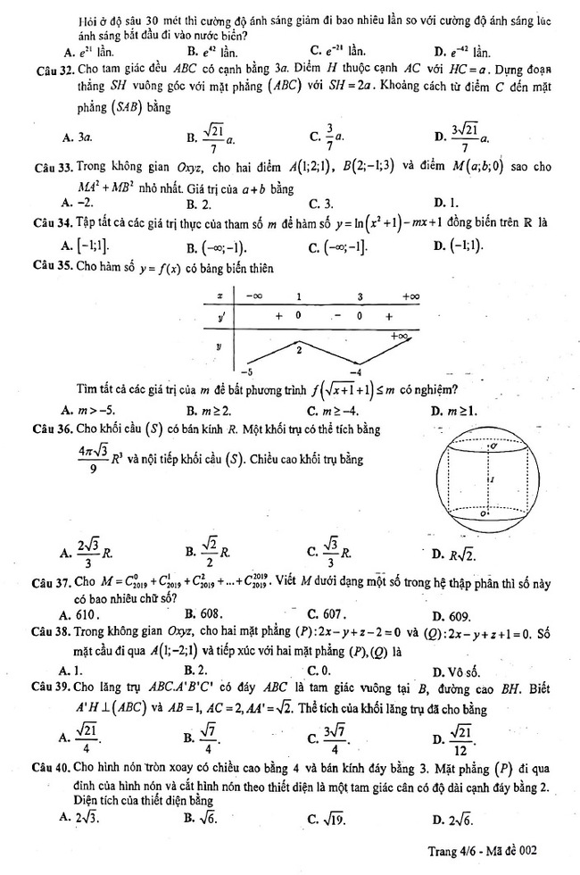
Đề thi



Đáp án đề thi khảo sát 12 môn Toán Hà Nội 2019
| 1 | D | 11 | D | 21 | B | 31 | B | 41 | B |
| 2 | C | 12 | B | 22 | B | 32 | D | 42 | D |
| 3 | C | 13 | D | 23 | D | 33 | B | 43 | D |
| 4 | A | 14 | C | 24 | A | 34 | C | 44 | C |
| 5 | B | 15 | C | 25 | B | 35 | C | 45 | D |
| 6 | C | 16 | A | 26 | A | 36 | A | 46 | D |
| 7 | B | 17 | B | 27 | C | 37 | B | 47 | A |
| 8 | D | 18 | D | 28 | D | 38 | C | 48 | C |
| 9 | D | 19 | A | 29 | A | 39 | A | 49 | B |
| 10 | A | 20 | A | 30 | C | 40 | B | 50 | A |
➜ Xem thêm: Đề thi khảo sát 12 môn Toán mã 009 Hà Nội 2019 có đáp án
// Đừng quên tham khảo đề thi thử THPT Quốc gia môn toán chi tiết của các tỉnh, các trường trên địa bàn Hà Nội cũng như các trường THPT trên cả nước do Đọc tổng hợp được.
Giới thiệu về tác giả
Huyền Chu là thành viên của Đọc tài liệu từ những ngày đầu tiên thành lập website https://doctailieu.com/. Hiện đang sinh sống và làm việc tại Hà Nội. Tác giả đã có kinh nghiệm biên tập các nội dung học tập từ TH, THCS, THPT từ năm 2018. Đó là các bài giảng, các bài học thuộc chương trình học của Sách giáo khoa của các cấp học, là các mẫu đề thi thử của 2 kỳ thi tuyển sinh (vào 10 và tốt nghiệp THPT). Trên hành trình cung cấp những tài liệu học tập hữu ích, tác giả sẽ cố gắng truyền tải những nội dung bổ ích giúp quá trình học tập trở nên thuận lợi hơn. Mong rằng với những gì mà tác giả Huyền Chu cung cấp sẽ đem lại giá trị hữu ích tới bạn đọc.
Trân trọng!