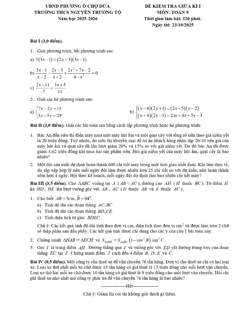
Đề thi giữa học kì 1 môn Toán lớp 9 THCS Nguyễn Trường Tộ 2025/26
Xuất bản: 12/11/2025 - Tác giả: Huyền Chu
Đề thi giữa học kì 1 môn Toán lớp 9 THCS Nguyễn Trường Tộ 2025/2026 dành cho các em học sinh lớp 9 tham khảo và ôn tập kiến thức.
Đề thi như sau:

Giới thiệu về tác giả
Huyền Chu là thành viên của Đọc tài liệu từ những ngày đầu tiên thành lập website https://doctailieu.com/. Hiện đang sinh sống và làm việc tại Hà Nội. Tác giả đã có kinh nghiệm biên tập các nội dung học tập từ TH, THCS, THPT từ năm 2018. Đó là các bài giảng, các bài học thuộc chương trình học của Sách giáo khoa của các cấp học, là các mẫu đề thi thử của 2 kỳ thi tuyển sinh (vào 10 và tốt nghiệp THPT). Trên hành trình cung cấp những tài liệu học tập hữu ích, tác giả sẽ cố gắng truyền tải những nội dung bổ ích giúp quá trình học tập trở nên thuận lợi hơn. Mong rằng với những gì mà tác giả Huyền Chu cung cấp sẽ đem lại giá trị hữu ích tới bạn đọc.
Trân trọng!