Đọc Tài Liệu xin gửi tới các em đề thi tuyển sinh vào lớp 10 môn Hóa chuyên năm học 2024 - 2025 trường Phổ thông năng khiếu (TP HCM) được cập nhật nhanh nhất!
Đề thi chuyên Hóa lớp 10 PTNK năm 2024


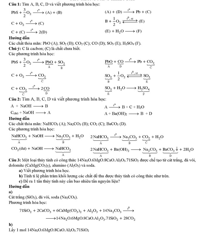
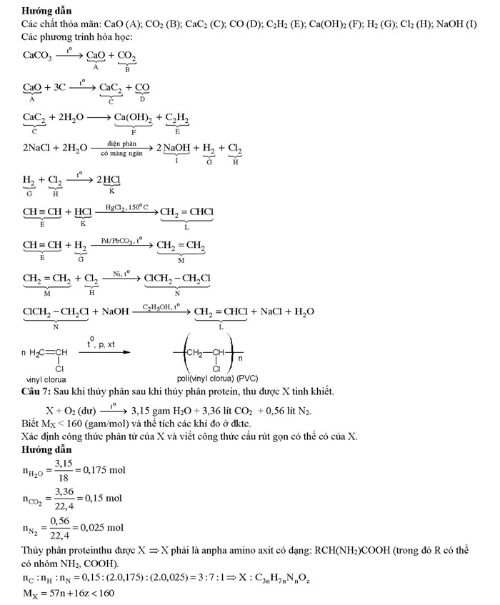
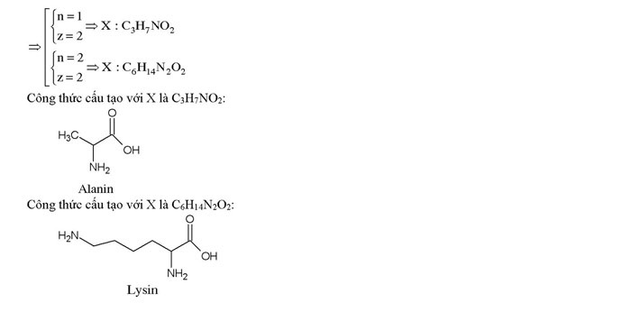
ĐÁP ÁN CHÍNH THỨC



Đề thi chuyên Hóa lớp 10 PTNK năm 2023


Đáp án đề thi tuyển sinh vào 10 chuyên Hóa trường PTNK năm học 2023 - 2024 như sau:



Đề thi chuyên Hóa lớp 10 PTNK năm 2022


Đề thi chuyên hóa lớp 10 PTNK năm 2021
Đề thi chính thức vào lớp 10 chuyên Hóa năm 2021 và đáp án được cập nhật ngay khi kỳ thi diễn ra vào ngày 28/5/2021.





Tác giả: Lưu Văn Dầu - Cộng Đồng Luyện Thi HSG và Chuyên Hóa
Dưới đây là đề thi chính thức của các năm trước giúp các em thử sức tại nhà:
Đề chuyên Hóa PTNK các năm học trước
Đề thi hóa PTNK năm 2020 có đáp án

Xem chi tiết trong bài viết: đề thi tuyển sinh lớp 10 năm 2020 chuyên Hóa PTNK
Đáp án đề thi chuyên Hóa PTNK năm 2019

Xem chi tiết trong bài viết: Đáp án đề thi vào 10 chuyên Hóa PTNK 2019
Đề thi hóa PTNK 2018 có đáp án

Xem chi tiết trong bài viết: đáp án môn Hóa học vào 10 Phổ thông Năng khiếu 2018
-/-
Trên đây là toàn bộ nội dung của đề thi tuyển sinh lớp 10 môn Hóa chuyên năm 2021 PTNK và một số thông tin về kỳ thi vào lớp 10 được Đọc Tài Liệu chia sẻ nhằm giúp các em tham khảo đề thi vào lớp 10 các môn khác cũng như nắm được các thông tin về kỳ thi này.
Mong rằng những tài liệu của chúng tôi sẽ là người đồng hành giúp các bạn hoàn thành tốt bài thi của mình.
