Đề thi thử môn Lý tốt nghiệp thpt trường Sóc Sơn – Hà Nội lần 1 năm 2018

Xuất bản: 15/06/2018 - Tác giả: Giangdh

Tham khảo đề thi thử và đáp án môn Lý tốt nghiệp THPTQG trường Sóc Sơn – Hà Nội lần 1 năm 2018

Mục lục nội dung

Đề thi

Đề thi thử môn Lý thptqg năm 2018 trường Sóc Sơn – Hà Nội
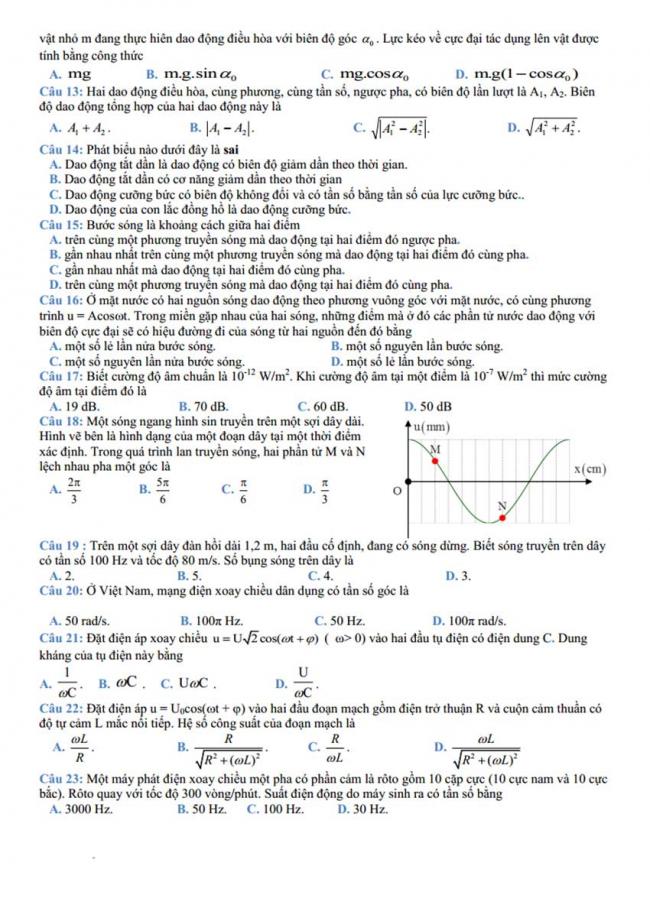
Đề thi thử môn Lý thptqg năm 2018 trường Sóc Sơn – Hà Nội 1
Đề thi thử môn Lý thptqg năm 2018 trường Sóc Sơn – Hà Nội 2
Đề thi thử môn Lý thptqg năm 2018 trường Sóc Sơn – Hà Nội 3

Đáp án Đề thi thử môn Lý thptqg năm 2018 trường Sóc Sơn – Hà Nội

Đáp án Đề thi thử môn Lý thptqg năm 2018 trường Sóc Sơn – Hà Nội
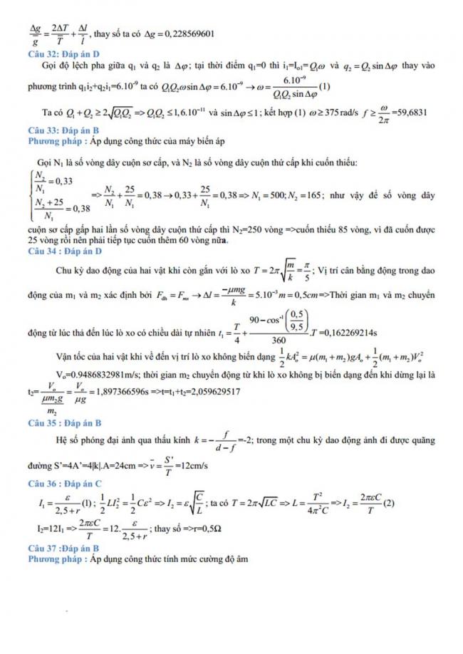
Đáp án Đề thi thử môn Lý thptqg năm 2018 trường Sóc Sơn – Hà Nội 1
Đáp án Đề thi thử môn Lý thptqg năm 2018 trường Sóc Sơn – Hà Nội 2
Đáp án Đề thi thử môn Lý thptqg năm 2018 trường Sóc Sơn – Hà Nội 3

Bạn còn vấn đề gì băn khoăn?
Vui lòng cung cấp thêm thông tin để chúng tôi giúp bạn
Hủy

TẢI VỀ

CÓ THỂ BẠN QUAN TÂM