Đề thi thử môn Lý tốt nghiệp thpt trường số 3 An Nhơn – Bình Định năm 2018 lần 2

Xuất bản: 25/06/2018 - Tác giả: Giangdh

Tham khảo đề thi thử và đáp án môn Lý tốt nghiệp THPTQG trường số 3 An Nhơn – Bình Định lần 2 năm 2018

Mục lục nội dung

Đề thi

Đề thi thử môn Lý thptqg năm 2018 trường số 3 An Nhơn – Bình Định
Đề thi thử môn Lý thptqg năm 2018 trường số 3 An Nhơn – Bình Định 1
Đề thi thử môn Lý thptqg năm 2018 trường số 3 An Nhơn – Bình Định 2
Đề thi thử môn Lý thptqg năm 2018 trường số 3 An Nhơn – Bình Định 3
Đề thi thử môn Lý thptqg năm 2018 trường số 3 An Nhơn – Bình Định 4

Đáp án Đề thi thử môn Lý thptqg năm 2018 trường số 3 An Nhơn – Bình Định

Đáp án Đề thi thử môn Lý thptqg năm 2018 trường số 3 An Nhơn – Bình Định
Đáp án Đề thi thử môn Lý thptqg năm 2018 trường số 3 An Nhơn – Bình Định 1
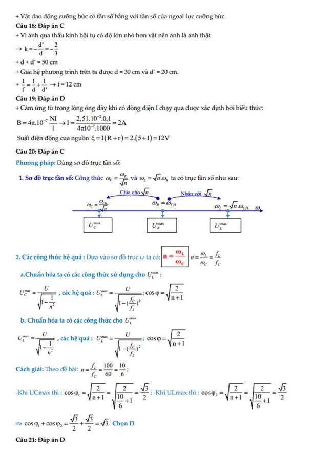
Đáp án Đề thi thử môn Lý thptqg năm 2018 trường số 3 An Nhơn – Bình Định 2

Bạn còn vấn đề gì băn khoăn?
Vui lòng cung cấp thêm thông tin để chúng tôi giúp bạn
Hủy

TẢI VỀ

CÓ THỂ BẠN QUAN TÂM