Đề thi thử THPT Quốc gia môn Lý năm 2018 trường chuyên Phan Bội Châu – Nghệ An lần 1

Xuất bản: 19/06/2018 - Tác giả: Giangdh

Đề thi thử môn Lý THPT năm 2018 có đáp án của trường chuyên Phan Bội Châu – Nghệ An theo đúng cấu trúc mới của bộ GD&ĐT

Mục lục nội dung

Đề thi

Đề thi thử môn Lý thptqg năm 2018 trường chuyên Phan Bội Châu – Nghệ An
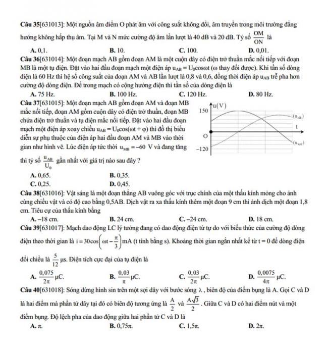
Đề thi thử môn Lý thptqg năm 2018 trường chuyên Phan Bội Châu – Nghệ An 1
Đề thi thử môn Lý thptqg năm 2018 trường chuyên Phan Bội Châu – Nghệ An 2
Đề thi thử môn Lý thptqg năm 2018 trường chuyên Phan Bội Châu – Nghệ An 3

Đáp án Đề thi thử môn Lý thptqg năm 2018 trường chuyên Phan Bội Châu – Nghệ An

Đáp án Đề thi thử môn Lý thptqg năm 2018 trường chuyên Phan Bội Châu – Nghệ An


Bạn còn vấn đề gì băn khoăn?
Vui lòng cung cấp thêm thông tin để chúng tôi giúp bạn
Hủy

TẢI VỀ

CÓ THỂ BẠN QUAN TÂM