Đề thi thử THPT Quốc gia môn Lý năm 2018 trường chuyên Hà Tĩnh lần 1

Xuất bản: 18/06/2018 - Tác giả: Giangdh

Tham khảo đề thi thử và đáp án môn Lý tốt nghiệp THPTQG trường chuyên Hà Tĩnh lần 1 năm 2018

Mục lục nội dung

Đề thi

Đề thi thử môn Lý thptqg năm 2018 trường chuyên Hà Tĩnh
Đề thi thử môn Lý thptqg năm 2018 trường chuyên Hà Tĩnh 1
Đề thi thử môn Lý thptqg năm 2018 trường chuyên Hà Tĩnh 2
Đề thi thử môn Lý thptqg năm 2018 trường chuyên Hà Tĩnh 3

Đáp án Đề thi thử môn Lý thptqg năm 2018 trường chuyên Hà Tĩnh

Đáp án Đề thi thử môn Lý thptqg năm 2018 trường chuyên Hà Tĩnh
Đáp án Đề thi thử môn Lý thptqg năm 2018 trường chuyên Hà Tĩnh 1
Đáp án Đề thi thử môn Lý thptqg năm 2018 trường chuyên Hà Tĩnh 2
Đáp án Đề thi thử môn Lý thptqg năm 2018 trường chuyên Hà Tĩnh 3
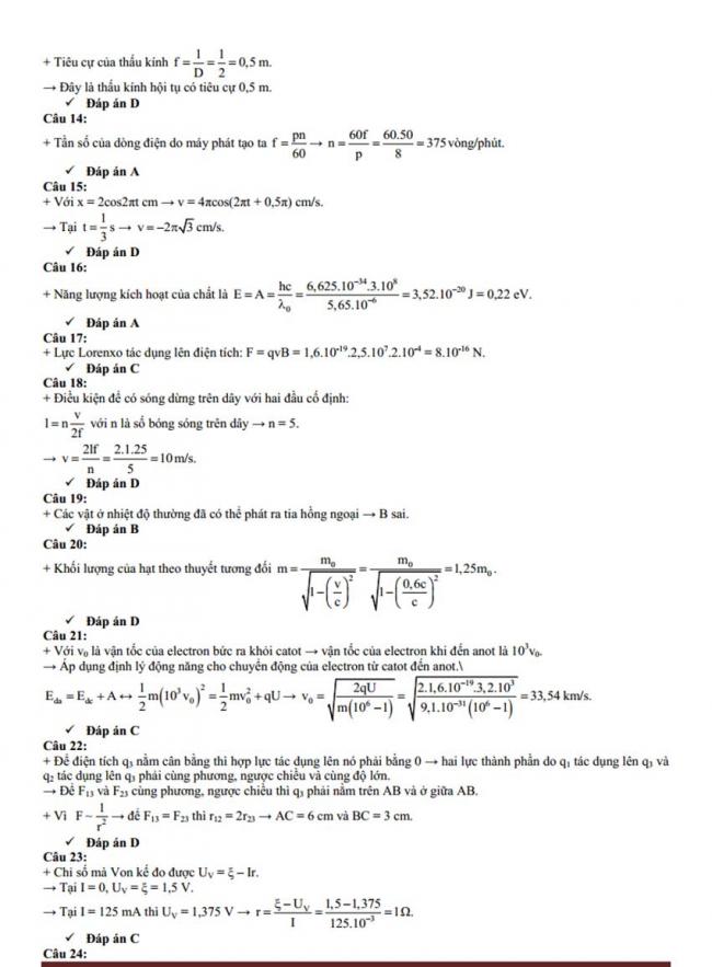
Đáp án Đề thi thử môn Lý thptqg năm 2018 trường chuyên Hà Tĩnh 4
Đáp án Đề thi thử môn Lý thptqg năm 2018 trường chuyên Hà Tĩnh 5

Bạn còn vấn đề gì băn khoăn?
Vui lòng cung cấp thêm thông tin để chúng tôi giúp bạn
Hủy

TẢI VỀ

CÓ THỂ BẠN QUAN TÂM