Đề thi thử THPT Quốc gia môn Lý năm 2018 trường Anh Sơn I – Nghệ An lần 1

Xuất bản: 21/06/2018 - Tác giả: Giangdh

Tham khảo đề thi thử và đáp án môn Lý tốt nghiệp THPTQG trường Anh Sơn I – Nghệ An lần 1 năm 2018

Mục lục nội dung

Đề thi

Đề thi thử môn Lý thptqg năm 2018 trường Anh Sơn I – Nghệ An
Đề thi thử môn Lý thptqg năm 2018 trường Anh Sơn I – Nghệ An 1
Đề thi thử môn Lý thptqg năm 2018 trường Anh Sơn I – Nghệ An 2

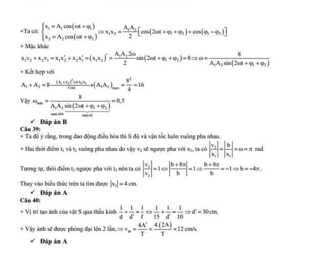
Đáp án Đề thi thử môn Lý thptqg năm 2018 trường Anh Sơn I – Nghệ An

Đáp án Đề thi thử môn Lý thptqg năm 2018 trường Anh Sơn I – Nghệ An
Đáp án Đề thi thử môn Lý thptqg năm 2018 trường Anh Sơn I – Nghệ An 1
Đáp án Đề thi thử môn Lý thptqg năm 2018 trường Anh Sơn I – Nghệ An 2
Đáp án Đề thi thử môn Lý thptqg năm 2018 trường Anh Sơn I – Nghệ An 3
Đáp án Đề thi thử môn Lý thptqg năm 2018 trường Anh Sơn I – Nghệ An 4

Bạn còn vấn đề gì băn khoăn?
Vui lòng cung cấp thêm thông tin để chúng tôi giúp bạn
Hủy

TẢI VỀ

CÓ THỂ BẠN QUAN TÂM