NEW: Giải chi tiết mã đề 118 Toán 2024
Xem ngay đáp án Mã đề 118 nằm trong 24 mã đề thi THPT Quốc gia 2021 môn Toán có đáp án chi tiết được Đọc tài liệu tổng hợp giúp các em đối chiếu kết quả.
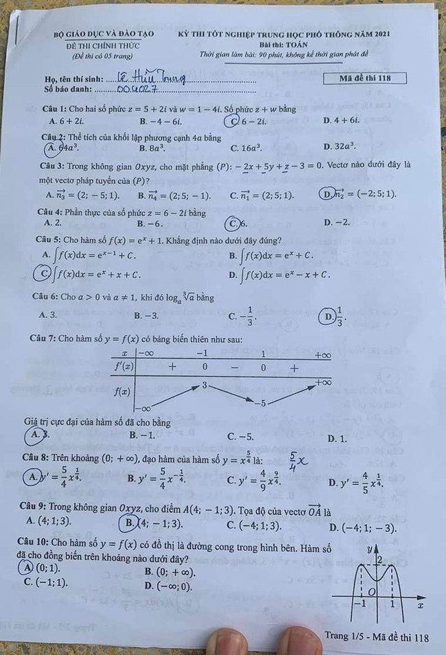
Đáp án mã đề 118Toán 2021 chính thức của Bộ GD&ĐT
| Câu | Đ/a | Câu | Đ/a | Câu | Đ/a | Câu | Đ/a | Câu | Đ/a |
| 1 | C | 11 | A | 21 | D | 31 | B | 41 | D |
| 2 | A | 12 | D | 22 | B | 32 | B | 42 | D |
| 3 | D | 13 | B | 23 | D | 33 | A | 43 | C |
| 4 | C | 14 | D | 24 | A | 34 | D | 44 | B |
| 5 | C | 15 | C | 25 | B | 35 | A | 45 | A |
| 6 | D | 16 | B | 26 | C | 36 | C | 46 | C |
| 7 | A | 17 | B | 27 | B | 37 | A | 47 | D |
| 8 | A | 18 | A | 28 | A | 38 | B | 48 | B |
| 9 | B | 19 | C | 29 | B | 39 | A | 49 | B |
| 10 | A | 20 | C | 30 | C | 40 | D | 50 | C |
Lời giải chi tiết mã 118 đề thi Toán tốt nghiệp THPT 2021 được thực hiện bởi Đọc Tài Liệu giúp các bạn tham khảo để đối chiếu dự kiến điểm bài thi của mình. Đáp án chính thức của Bộ GD&ĐT sẽ được cập nhật ngay sau khi nhận được thông báo.
Đề thi toán mã 118 2021 chính thức
Đề thi THPT quốc gia 2021 môn Toán mã đề 118 trong kỳ thi tốt nghiệp THPT dành cho học sinh lớp 12 năm học 2020 - 2021 gồm 50 câu hỏi trắc nghiệm với thời gian làm bài trong 90 phút.





Sẽ được cập nhật ngay sau khi kết thúc bài thi.
Các em còn có thể theo dõi và xem chi tiết tổng hợp đáp án đề thi tốt nghiệp THPT 2021 tất cả các môn nữa nhé!
Đáp án đề thi THPT môn Toán 2021
- Mã đề 101 Toán 2021
- Mã đề 102 Toán 2021
- Mã đề 103 Toán 2021
- Mã đề 104 Toán 2021
- Mã đề 105 Toán 2021
- Mã đề 106 Toán 2021
- Mã đề 107 Toán 2021
- Mã đề 108 Toán 2021
- Mã đề 109 Toán 2021
- Mã đề 110 Toán 2021
- Mã đề 111 Toán 2021
- Mã đề 112 Toán 2021
- Mã đề 113 Toán 2021
- Mã đề 114 Toán 2021
- Mã đề 115 Toán 2021
- Mã đề 116 Toán 2021
- Mã đề 117 Toán 2021
- Mã đề 118 Toán 2021
- Mã đề 119 Toán 2021
- Mã đề 120 Toán 2021
- Mã đề 121 Toán 2021
- Mã đề 122 Toán 2021
- Mã đề 123 Toán 2021
- Mã đề 124 Toán 2021
