Đáp án đề thi vào 10 môn Toán chuyên tỉnh Lào Cai 2018
Xuất bản: 04/06/2018 - Cập nhật: 27/09/2018 - Tác giả: Huyền Chu
Đáp án tham khảo Toán chuyên kỳ thi tuyển sinh vào lớp 10 các trường chuyên tỉnh Lào Cai năm học 2018 - 2019.
Đề thi chính thức:
SỞ GIÁO DỤC VÀ ĐÀO TẠO LÀO CAI | KỲ THI TUYỂN SINH VÀO LỚP 10 THPT CHUYÊN NĂM HỌC 2018-2019 |
| ĐỀ THI CHÍNH THỨC | MÔN THI: TOÁN (CHUYÊN 1) Thời gian làm bài: 150 phút (không kể thời gian giao đề) (Đề thi gồm 01 trang, 05 câu) |

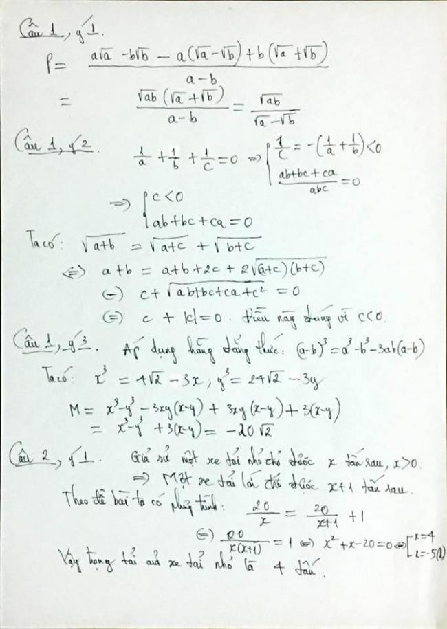
Đáp án tham khảo:



(Nguồn: Thầy Nguyễn Quang Tân)
Giới thiệu về tác giả
Huyền Chu là thành viên của Đọc tài liệu từ những ngày đầu tiên thành lập website https://doctailieu.com/. Hiện đang sinh sống và làm việc tại Hà Nội. Tác giả đã có kinh nghiệm biên tập các nội dung học tập từ TH, THCS, THPT từ năm 2018. Đó là các bài giảng, các bài học thuộc chương trình học của Sách giáo khoa của các cấp học, là các mẫu đề thi thử của 2 kỳ thi tuyển sinh (vào 10 và tốt nghiệp THPT). Trên hành trình cung cấp những tài liệu học tập hữu ích, tác giả sẽ cố gắng truyền tải những nội dung bổ ích giúp quá trình học tập trở nên thuận lợi hơn. Mong rằng với những gì mà tác giả Huyền Chu cung cấp sẽ đem lại giá trị hữu ích tới bạn đọc.
Trân trọng!