Đáp án đề thi thử THPT môn toán sở GD&ĐT Đà Nẵng lần 1 năm 2018

Xuất bản: 15/06/2018 - Tác giả: Hiền Phạm

Đề chính thức có kèm theo đáp án môn toán kỳ thi thử THPT năm 2018 của sở giáo dục và đào tạo Đà Nẵng.

Đề thi

đề thi thử thpt môn toán Đà Nẵng 2018 trang 1
đề thi thử thpt môn toán Đà Nẵng 2018 trang 2
đề thi thử thpt môn toán Đà Nẵng 2018 trang 3
đề thi thử thpt môn toán Đà Nẵng 2018 trang 4
đề thi thử thpt môn toán Đà Nẵng 2018 trang 5
đề thi thử thpt môn toán Đà Nẵng 2018 trang 6

Đáp án Đề thi thử môn Toán thptqg năm 2018 sở giáo dục và đào tạo Đà Nẵng

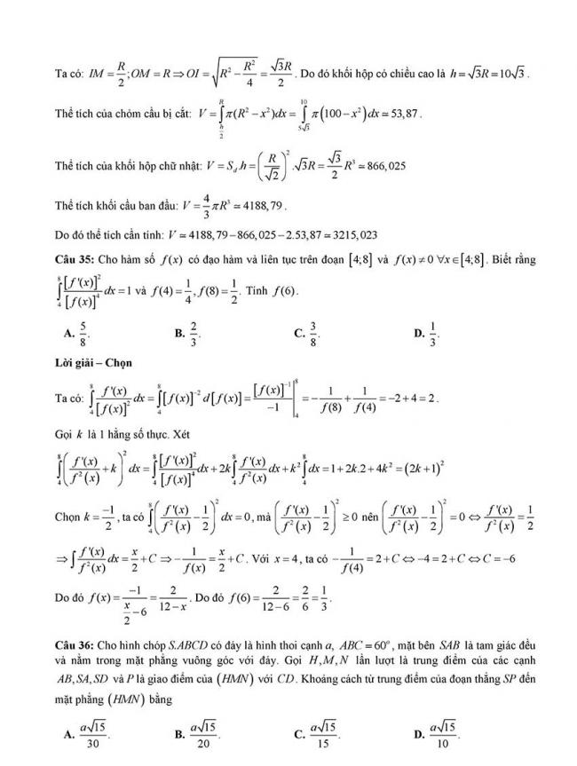
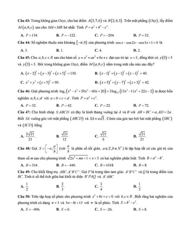
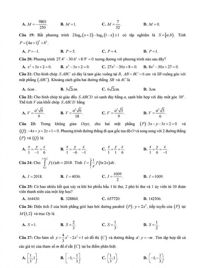
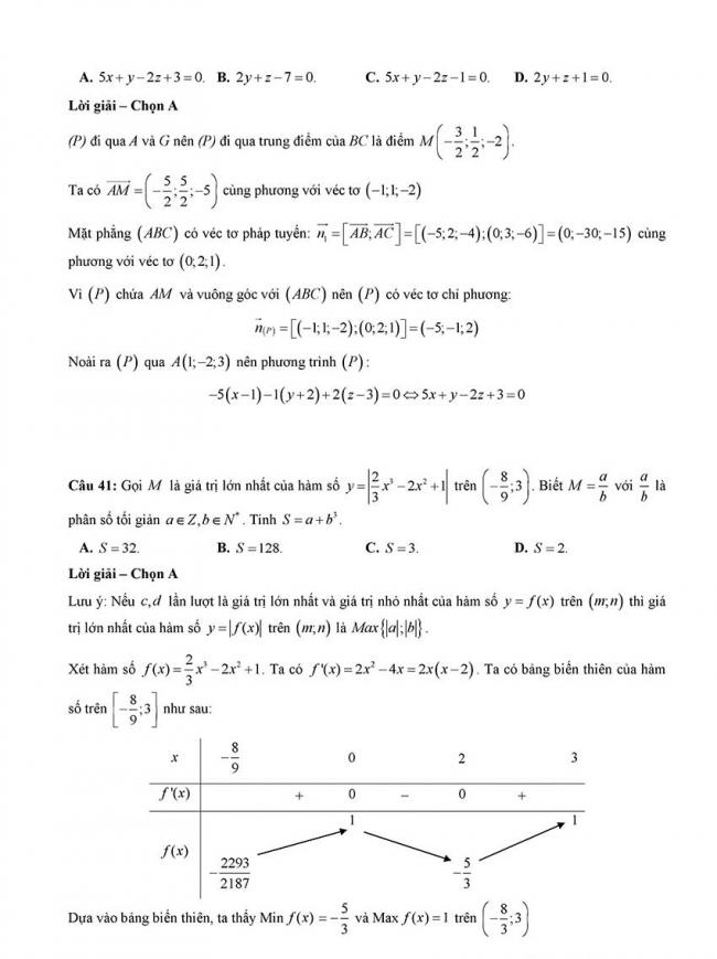
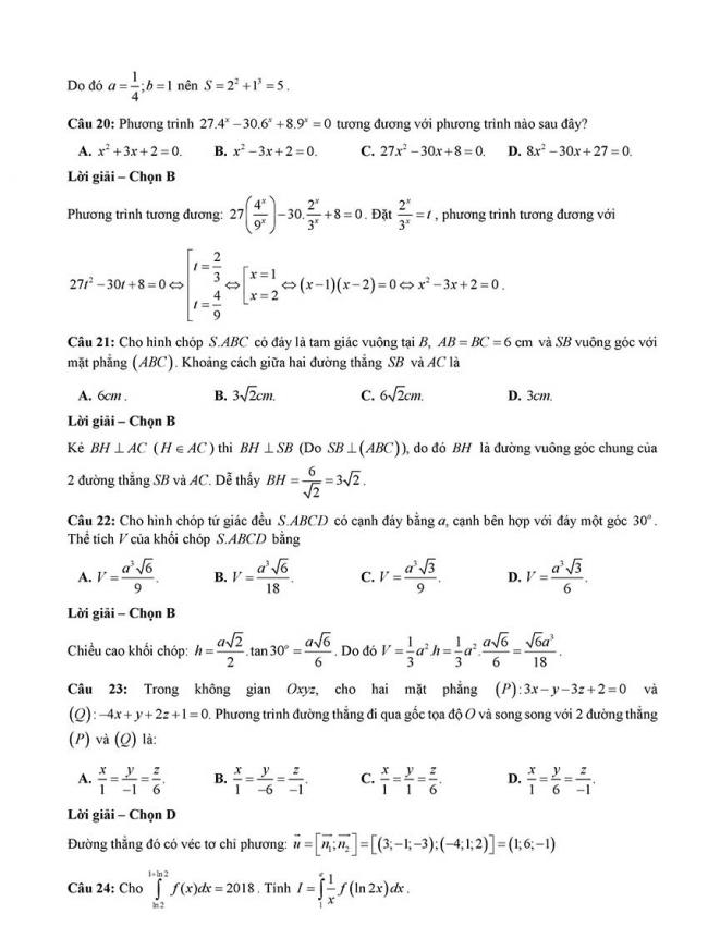
Đáp án Đề thi thử môn Toán thptqg Đà Nẵng năm 2018 trang 1
Đáp án Đề thi thử môn Toán thptqg Đà Nẵng năm 2018 trang 2
Đáp án Đề thi thử môn Toán thptqg Đà Nẵng năm 2018 trang 3
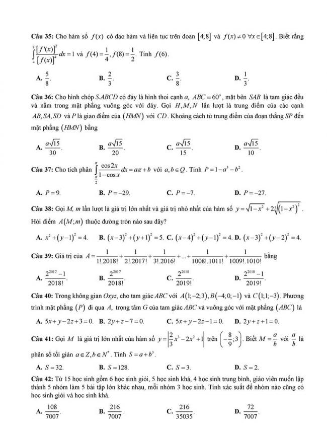
Đáp án Đề thi thử môn Toán thptqg Đà Nẵng năm 2018 trang 4
Đáp án Đề thi thử môn Toán thptqg Đà Nẵng năm 2018 trang 5
Đáp án Đề thi thử môn Toán thptqg Đà Nẵng năm 2018 trang 6
Đáp án Đề thi thử môn Toán thptqg Đà Nẵng năm 2018 trang 7
Đáp án Đề thi thử môn Toán thptqg Đà Nẵng năm 2018 trang 8
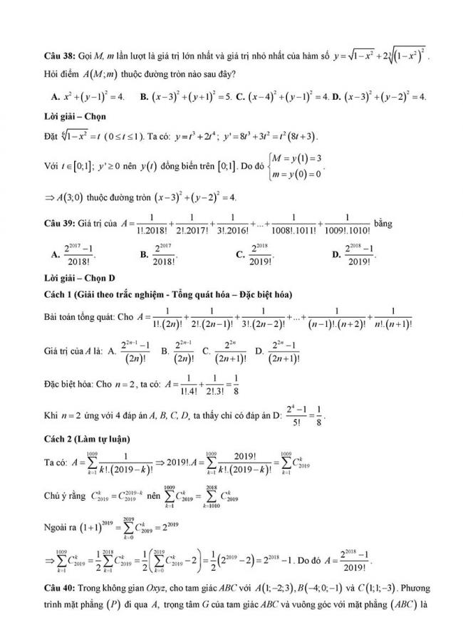
Đáp án Đề thi thử môn Toán thptqg Đà Nẵng năm 2018 trang 9
Đáp án Đề thi thử môn Toán thptqg Đà Nẵng năm 2018 trang 10
Đáp án Đề thi thử môn Toán thptqg Đà Nẵng năm 2018 trang 11
Đáp án Đề thi thử môn Toán thptqg Đà Nẵng năm 2018 trang 12
Đáp án Đề thi thử môn Toán thptqg Đà Nẵng năm 2018 trang 13
Đáp án Đề thi thử môn Toán thptqg Đà Nẵng năm 2018 trang 14
Đáp án Đề thi thử môn Toán thptqg Đà Nẵng năm 2018 trang 15
Đáp án Đề thi thử môn Toán thptqg Đà Nẵng năm 2018 trang 16

Bạn còn vấn đề gì băn khoăn?
Vui lòng cung cấp thêm thông tin để chúng tôi giúp bạn
Hủy

TẢI VỀ

CÓ THỂ BẠN QUAN TÂM