Đáp án đề thi thử môn Sinh tốt nghiệp thpt trường Chuyên Bến Tre năm 2018

Xuất bản: 20/06/2018

Đề thi thử môn Sinh THPT năm 2018 có đáp án của trường Chuyên Bến Tre theo đúng cấu trúc mới của bộ GD&ĐT.

Mục lục nội dung

Đáp án đề thi

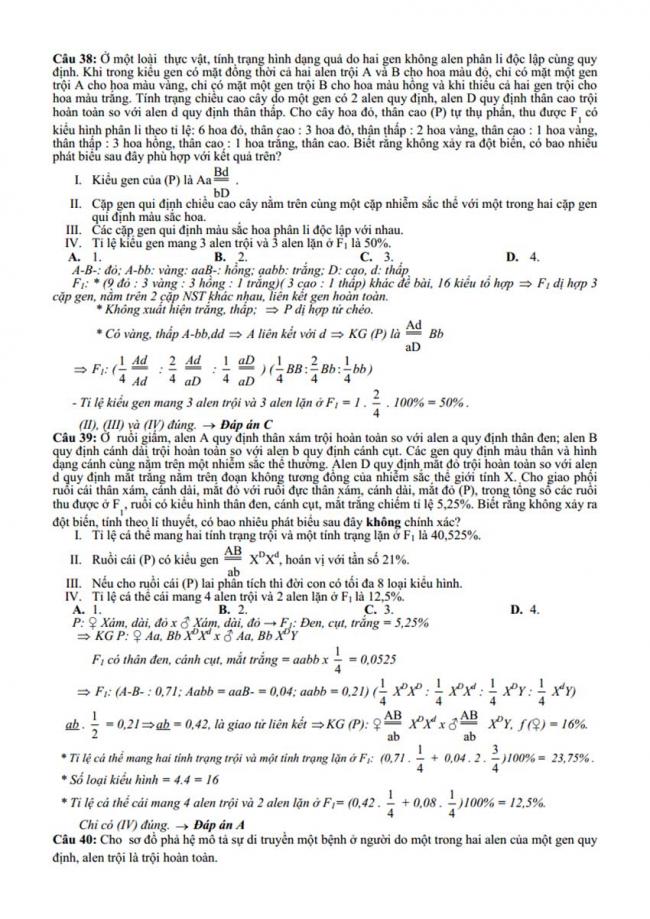
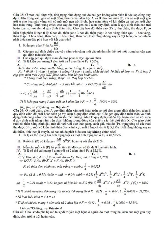
Đáp án Đề thi thử môn Sinh thptqg năm 2018 trường Chuyên Bến Tre trang 1
Đáp án Đề thi thử môn Sinh thptqg năm 2018 trường Chuyên Bến Tre trang 2
Đáp án Đề thi thử môn Sinh thptqg năm 2018 trường Chuyên Bến Tre trang 3
Đáp án Đề thi thử môn Sinh thptqg năm 2018 trường Chuyên Bến Tre trang 4
Đáp án Đề thi thử môn Sinh thptqg năm 2018 trường Chuyên Bến Tre trang 5
Đáp án Đề thi thử môn Sinh thptqg năm 2018 trường Chuyên Bến Tre trang 6
Đáp án Đề thi thử môn Sinh thptqg năm 2018 trường Chuyên Bến Tre trang 7

Đáp án Đề thi thử môn Sinh thptqg năm 2018 trường Chuyên Bến Tre trang 8

Bạn còn vấn đề gì băn khoăn?
Vui lòng cung cấp thêm thông tin để chúng tôi giúp bạn
Hủy

CÓ THỂ BẠN QUAN TÂM