Lý thuyết Phép chia các phân thức đại số và các dạng bài thường gặp
Tổng hợp lý thuyết Phân tích đa thức thành nhân tử bằng phương pháp đặt nhân tử chung bao gồm các kiến thức cơ bản cùng các dạng bài tập thường gặp kèm phương pháp giải.
Tổng hợp lý thuyết Phân tích đa thức thành nhân tử bằng phương pháp đặt nhân tử chung bao gồm các kiến thức cơ bản cùng các dạng bài tập thường gặp kèm phương pháp giải.
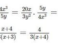
Dưới đây là hướng dẫn giải và đáp án bài 42 trang 54 trong sách giáo khoa Toán lớp 8 tập 1 phần đại số: Làm tính chia phân thức.
Dưới đây là hướng dẫn giải và đáp án bài 43 trang 54 sách giáo khoa toán lớp 8 tập 1 phần đại số.
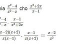
Dưới đây là hướng dẫn giải và đáp án bài 44 trang 54 sách giáo khoa toán lớp 8 tập 1 phần đại số.
Dưới đây là hướng dẫn giải và đáp án bài 45 trang 55 sách giáo khoa môn Toán lớp 8 tập 1 phần đại số.